Главная Случайная страница


Полезное:

Как сделать разговор полезным и приятным Как сделать объемную звезду своими руками Как сделать то, что делать не хочется? Как сделать погремушку Как сделать так чтобы женщины сами знакомились с вами Как сделать идею коммерческой Как сделать хорошую растяжку ног? Как сделать наш разум здоровым? Как сделать, чтобы люди обманывали меньше Вопрос 4. Как сделать так, чтобы вас уважали и ценили? Как сделать лучше себе и другим людям Как сделать свидание интересным?


Категории:

АрхитектураАстрономияБиологияГеографияГеологияИнформатикаИскусствоИсторияКулинарияКультураМаркетингМатематикаМедицинаМенеджментОхрана трудаПравоПроизводствоПсихологияРелигияСоциологияСпортТехникаФизикаФилософияХимияЭкологияЭкономикаЭлектроника






Применение определенного интеграла к решению задач геометрии и физики





 

Срок выполнения 5-8 недели

 

 

Содержание работы

1. Вычисление площади плоской фигуры.

2. Вычисление объема тела вращения.

3. Вычисление длины дуги.

4. Вычисление работы, давления, момента инерции.

5. Оценки определенных интегралов. Приближенное вычисление определенных интегралов

6. Несобственные интегралы

7. Контрольные вопросы

 

Литература [1,2,9,17]

 

 

1. Вычислить определенные интегралы

 

а) , б) , в) , г)

 

 

2. Найдите площадь фигуры, ограниченной кривыми:

а) , ,

б)

в)

 

 

2.Найдите объем тела, образованного вращением фигуры, ограниченной линиями, вокруг заданной оси:

 

1) вокруг оси

2) вокруг оси

 

 

3.Найдите длину дуги кривой:

 

4.

а). Определите работу, затрачиваемую на выкачивание жидкости плотности из емкости в форме полушара радиуса

 

б). Определите давление жидкости плотности на боковые стенки цилиндрического сосуда цилиндрической формы радиуса

 

в). Найдите момент инерции прямоугольного треугольника с катетами и при вращении треугольника вокруг одного из катетов

5. Приближенное вычисление определенных интегралов

 

а)Оценить интеграл

б) Найти приближенно при (вычислять с четырьмя знаками после запятой) интеграл по формуле прямоугольников, по формуле трапеций, по формуле Симпсона

7.Вычислить несобственные интегралы или исследовать их на сходимость

 

, , ,

, ,

 

 

Контрольные вопросы

 

1. Дайте определение понятия «определенный интеграл». Условие существования определенного интеграла (интегрируемость функции)

2. Геометрический смысл определенного интеграла

3. Интеграл с переменным верхним пределом.

4. Формула Ньютона-Лейбница

5. Оценка определенного интеграла. Формула среднего значения

6. Несобственный интеграл с бесконечными пределами интегрирования

7. Несобственный интеграл от неограниченных функций

8. Признак сходимости несобственных интегралов

9. Формулы прямоугольников, трапеций, Симпсона

10. На рисунке изображен график функции и даны числа - площади указанных фигур. Тогда интеграл равен …

 

11. Если и то интеграл равен …

12. Ненулевая функция является нечетной на отрезке . Тогда равен…

13. Определенный интеграл равен…

14. Определенный интеграл равен…

 

15. Мера плоского множества, изображенного на рис. равна

 

Самостоятельная работа

 

РГР № 5 (0,278 ЗЕ)

 

Степенные ряды и их применение

 

 

Срок выполнения 5-8 недели

 

 

Содержание работы

1. Область сходимости степенного ряда

2. Таблица разложения в степенные ряды основных элементарных функций (с выводом)

3. Техника разложения функций в степенной ряд (ряд Маклорена, ряд Тейлора)

4. Применение степенных рядов к вычислению пределов (раскрытию неопределенностей)

5. Применение степенных к вычислению асимптот графиков функций

6. Применение степенных рядов к приближенному вычислению интегралов

 

Литература [1,2, 14,16]

 

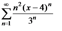
1. Для функциональных рядов найдите область сходимости, радиус сходимости, исследуйте поведение ряда на границах области сходимости:

 

А) , Б) ,

В) Количество целых чисел, принадлежащих интервалу

сходимости степенного ряда равно …

 

 

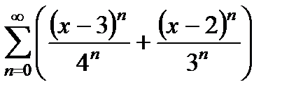
2. Найдите суммы рядов и укажите область сходимости:

 

, ,

 

 

3. Получить разложения в ряд Маклорена для основных элементарных функций: экспонента, логарифмическая функция, тригонометрические функции, обратные тригонометрические функции, гиперболические, обратные гиперболические функции

 

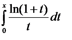
4. Используя таблицу разложений функций в ряд Маклорена, разложить функцию в ряд с заданной точностью . Для бесконечно малых указать степенной порядок малости:

 

; ;

 

5. Разложить функцию по формуле Тейлора вблизи указанной точки с требуемой точностью :

 

 

6.
Написать приближенные формулы, описывающие поведение функции при больших значениях переменной (найти асимптоты графика функции наклонные или горизонтальные):

 

 

7. Написать приближенные формулы, описывающие поведение функции в окрестности ее нулей и точек разрыва:

 

 

 

 

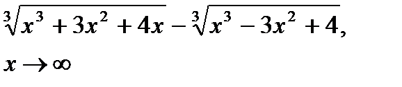
8. Раскрыть неопределенности:



 


 

9. Написать формулы для приближенного вычисления интегралов при помощи разложения функций в степенной ряд. Указать область сходимости ряда.

 

9.

 

Контрольные вопросы

 

1.Числовой ряд. Определение суммы ряда

2. Ряд из членов геометрической прогрессии. Условия сходимости. Приведите примеры.

3. Необходимый признак сходимости числового ряда. Гармонический ряд

4. Критерий сходимости числового ряда с неотрицательными членами

5. Достаточные условия сходимости ряда. Признак сравнения

6. Достаточные условия сходимости ряда. Признак Даламбера

7. Достаточные условия сходимости ряда. Признак радикальный Коши

8. Достаточные условия сходимости ряда. Интегральный признак. Условия сходимости ряда

9. Теорема Тейлора. Формула Маклорена. Ряд Тейлора. Ряд Маклорена.

10. Получите разложение в ряд Маклорена для функции

11. Получите разложение в ряд Маклорена для функции

12. 4.Получите разложение в ряд Маклорена для функции

13. Чему равен коэффициент разложения функции в ряд Тейлора по степеням

14. Интервал сходимости ряда равен . Сумма

15. Интервал сходимости ряда равен . Сумма

16. Чему равна производная порядка в точке функции ?

17. Как определить степенной порядок малости при помощи разложения в ряд Тейлора в окрестности точки? Приведите примеры.

18. Как можно определить степенной порядок роста бесконечно большой в окрестности точки разрыва 2 рода?

19. Что называют наклонной (горизонтальной) асимптотой графика функции? Какие способы нахождения асимптот Вы знаете? Как использовать теорему Тейлора для нахождения асимптот? Приведите примеры.

20. Известны первые три члена числовой последовательности: , , . Тогда формула общего члена этой последовательности имеет вид …

 

 

Самостоятельная работа

 

РГР № 6 (0,278 ЗЕ)

 

Применение производной к исследованию функций

 

 

Срок выполнения 9-12 неделя

 

Содержание работы

1. Полное исследование функции и построение графика

2. Раскрытие неопределенностей с использованием правила Лопиталя

3. Задачи на наибольшее и наименьшее значения функции

 

Литература [1,2,8,17]

 

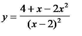
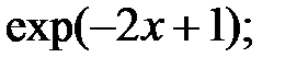
1. Провести полное исследование и построить графики функций (область определения, четность, нули функции, точки разрыва, вертикальные асимптоты, поведение при больших значениях аргумента – наклонные и горизонтальные асимптоты, локальные экстремумы, точки перегиба) (построить 2 функции по заданию преподавателя):

, , ,

 

 

2. Найдите наибольшее и наименьшее значения функции на отрезке:

 

а) ,

б)

3. Написать приближенные формулы, описывающие поведение функций вблизи точек локальных экстремумов и точек перегиба
,

 

 

4. Раскрыть неопределенности, используя правило Лопиталя:

 

 

 

 

 

 

5. Решите задачи (две задачи по выбору)

а) Найти угловой коэффициент прямой, проходящей через точку и отсекающей от координатных осей треугольник наименьшей площади

(.

 

б) Объем правильной треугольной призмы . Какова должна быть сторона основания, чтобы полная поверхность была наименьшей?


в) В треугольник с основанием и высотой вписать прямоугольник с наименьшим периметром.

г) В шар радиуса вписать цилиндр наибольшего объема

д) Около заданного шара описать конус наименьшего объема

Контрольные вопросы

1. Сколько асимптот имеет график функции , , ?

2. Дайте определение точки локального экстремума функции

3. Сформулируйте необходимые условия существования экстремума

4. Сформулируйте достаточные условия существования экстремума

5. Дайте определение точки перегиба графика функции и сформулируйте необходимые условия его существования

 

 

Самостоятельная работа

 

РГР № 7 (0,139 ЗЕ)

 

Системы линейных уравнений

 

 

Срок выполнения 9-12 неделя

 

Содержание работы

1. Обратная матрица.

2. Решение матричных уравнений.

3. Ранг матрицы. Теорема Кронекера-Капелли.

4. Решение систем линейных уравнений методами обратной матрицы, Крамера, Гаусса

 

 

Литература [1,7,17]

 

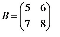
1. Дайте определение обратной матрицы и сформулируйте условия ее существования. Для указанных матриц проверьте выполнение условий существования обратной матрицы и, если обратная матрица существует, то найдите ее:

, , , .

 

Ответы: , ,

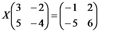
2. Выполняя действия над матрицами, найдите неизвестную матрицу из указанных уравнений:

 

a) , b) ,

с) Найдите матрицу из уравнения: , где , ,

d ) . Здесь , , .

 

Ответы: а) , b) , c) , d)

3. Дайте определение понятия ранг матрицы. Найдите ранг матрицы методом элементарных преобразований:

а) , б) , в) , г) ,

д)

 

4. Для каждой из указанных ниже систем

· методом элементарных преобразований определите ранг матрицы системы и ранг расширенной матрицы,

· на основании теоремы Кронекера-Капелли сделайте вывод о совместности системы (определите число решений системы),

· найдите решения системы, при этом, если решений множество, то укажите число базисных и свободных переменных

 

,

 

 

,

 

Ответы: , , не имеет решений, .

Контрольные вопросы

 

1. Что такое порядок матрицы?

2. Матрица, стоящая слева имеет 5 столбцов и 3 строки, а матрица, стоящая справа имеет 2 столбца и 8 строк. Можно ли перемножить такие матрицы?

3. Является ли матрица вырожденной?

4. Разложение определителя по третьей строке имеет вид …
ВАРИАНТЫ ОТВЕТОВ:
1)   2)
3)   4)

 

5. Сколько решений имеет система линейных уравнений, если ранг матрицы системы равен рангу расширенной матрицы и равен 3, а число неизвестных равно 5?

6. Справедливо ли утверждение: все уравнения системы линейно независимы и система имеет единственное решение?

7. Определитель . Тогда определитель матрицы равен …


7.Операция произведения матриц правильно определена для матричного умножения вида …
ВАРИАНТЫ ОТВЕТОВ:
1)   2)
3)   4)
5)      

 

 

Самостоятельная работа

 

РГР № 8 (0,417 ЗЕ)

 

Аналитическая геометрия на плоскости

 

Срок выполнения - 12 неделя (прямая на плоскости -0,139 ЗЕ)

- 13 неделя (0,278 ЗЕ)

 

 

Содержание работы

1. Векторы. Линейные операции

2. Прямая линия на плоскости

3. Кривые второго порядка

4. Полярная система координат

5. Векторная функция скалярного аргумента

 

Литература [1,7,17]

 

 







Date: 2015-09-24; view: 1105; Нарушение авторских прав



mydocx.ru - 2015-2026 year. (0.367 sec.) Все материалы представленные на сайте исключительно с целью ознакомления читателями и не преследуют коммерческих целей или нарушение авторских прав - Пожаловаться на публикацию