Главная Случайная страница


Полезное:

Как сделать разговор полезным и приятным Как сделать объемную звезду своими руками Как сделать то, что делать не хочется? Как сделать погремушку Как сделать так чтобы женщины сами знакомились с вами Как сделать идею коммерческой Как сделать хорошую растяжку ног? Как сделать наш разум здоровым? Как сделать, чтобы люди обманывали меньше Вопрос 4. Как сделать так, чтобы вас уважали и ценили? Как сделать лучше себе и другим людям Как сделать свидание интересным?


Категории:

АрхитектураАстрономияБиологияГеографияГеологияИнформатикаИскусствоИсторияКулинарияКультураМаркетингМатематикаМедицинаМенеджментОхрана трудаПравоПроизводствоПсихологияРелигияСоциологияСпортТехникаФизикаФилософияХимияЭкологияЭкономикаЭлектроника






Техника дифференцирования





Срок выполнения 1-2 недели семестра

 

 

Содержание работы

 

 

1. Таблица производных. Производные арифметических операций

2. Производная сложной функции

3. Производная функции, заданной неявно

4. Производная функции, заданной параметрически

5. Дифференциал. Применение к приближенным вычислениям

6. Геометрический смысл производной. Уравнение касательной

7. Механический смысл производной

8. Контрольные вопросы

 

 

Литература [1,2,8,17]

 

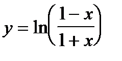
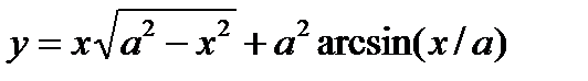
1. Вычислить производные, используя линейность операции дифференцирования и правила дифференцирования произведения и частного:

 




 

2. Вычислить производные, используя правило дифференцирования сложной функции (выписывать цепочку промежуточных переменных):










 

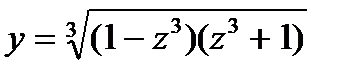
3. Найти производную функции, заданной неявно:

 

а) ; б)

 

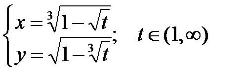
4. Найти производную функции, заданной параметрически:

 

а) ; б)

 

 

5. Применение дифференциала для приближенных вычислений

 

а) Найдите приближенное выражение для приращения объема при изменении давления на при условии постоянства температуры , если связаны законом

 

б) Вычислить приближенно значение функции при помощи дифференциала

 

6. Геометрический смысл производной

а) Под каким углом график функции пересекает ось абсцисс?

б) В каких точках и под каким углом пересекаются графики функций

и

в) Напишите уравнение касательной к кривой в указанной точке

 

6. Физический смысл производной:

а) Точка движется по параболе так, что ее абсцисса изменяется по закону ( -измеряется в метрах, а - в секундах). Какова скорость изменения ординаты через 9 сек после начала движения?

б) В какой момент надо устранить действие сил, чтобы

точка,участвующая в гармоническом колебании , продолжала двигаться равномерно со скоростью

 

Контрольные вопросы

 

1. Дайте определение дифференцируемой функции и производной в точке

 

2. В чем состоит геометрический смысл производной?

 

3. В чем состоит физический смысл производной?

 

4. Как связаны производные прямой и обратной функции?

 

5. Сформулируйте правило дифференцирования сложной функции

 

6. На рисунке изображен график функции , заданной на интервале .

Тогда число интервалов, на которых касательная к графику функции имеет положительный угловой коэффициент, равно …

7.

 

РГР № 3 (0,417 ЗЕ)







Date: 2015-09-24; view: 527; Нарушение авторских прав



mydocx.ru - 2015-2026 year. (0.565 sec.) Все материалы представленные на сайте исключительно с целью ознакомления читателями и не преследуют коммерческих целей или нарушение авторских прав - Пожаловаться на публикацию