Главная Случайная страница


Полезное:

Как сделать разговор полезным и приятным Как сделать объемную звезду своими руками Как сделать то, что делать не хочется? Как сделать погремушку Как сделать так чтобы женщины сами знакомились с вами Как сделать идею коммерческой Как сделать хорошую растяжку ног? Как сделать наш разум здоровым? Как сделать, чтобы люди обманывали меньше Вопрос 4. Как сделать так, чтобы вас уважали и ценили? Как сделать лучше себе и другим людям Как сделать свидание интересным?


Категории:

АрхитектураАстрономияБиологияГеографияГеологияИнформатикаИскусствоИсторияКулинарияКультураМаркетингМатематикаМедицинаМенеджментОхрана трудаПравоПроизводствоПсихологияРелигияСоциологияСпортТехникаФизикаФилософияХимияЭкологияЭкономикаЭлектроника






Кольцевом балансном смесителе





 

В диодном преобразователе частоты (рис. 3.4) источники входного сигнала, сигнала гетеродина и источник смещения E 0 включены последовательно. Вольт-амперная характеристика диода аппроксимируется экспоненциальной зависимостью вида

, (3.18)

u c
u g
u г
E 0
i g
 
u вых
VD
Рис. 3.4. Функциональная схема диодного преобразователя частоты
R

где i об – тепловой ток запертого p–n -перехода (ток насыщения).

 

 

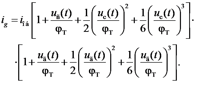
Если ug = E 0, то через диод протекает постоянный ток i = i обexp(E 0T). Ток в схеме на рис. 3.4 при достаточно больших значениях сигналов u c(t) = U ccosωc t и u г(t) = U гcosωг t и при Е 0 много меньше U c и U г будет определяться выражением

(3.19)

При условии, что U c << φT и U г << φT, представим функции exp(x) в виде степенного ряда:

(3.20)

 

Выходное напряжение, очевидно, будет равно

(3.21)

Как видно из выражений (3.20), (3.21), в выходном токе смесителя помимо составляющей, пропорциональной произведению u c(t) u г(t), содержатся составляющие u c(t), u г(t), u c2(t), u г2(t), u c3(t), u г3(t), …

Следовательно, при наличии на входе преобразователя частоты гармонического колебания на его выходе присутствуют колебания с частотами ωc, ωг, 2ωc, 2ωг, ωг – ωc, 2ωc ± ωг … достаточно большого уровня. Включая в качестве нагрузки частотно-избирательную цепь с резонансной частотой ωпч, можно выделить, например, колебания с частотой ωпч = ωг – ωc.

 

Тр2
Тр1
VD 1– VD 4
L
C
u пч(t)
u c(t)
u г(t)
Рис. 3.5. Схема преобразователя частоты на диодном кольцевом балансном смесителе

 

 


В диодных преобразователях частоты (см. рис. 3.4) цепи входного сигнала и сигнала гетеродина сильно связаны через диод. Наличие этой связи приводит к следующим явлениям:

§ настройки контуров гетеродина и сигнала оказываются взаимозависимыми;

§ ток с частотой входного сигнала, замыкающийся через цепи гетеродина, может вызвать «захват» сигнала гетеродина;

§ ток с частотой гетеродина, замыкающийся через цепи входного сигнала, определяет существенное излучение энергии гетеродина антенной устройства приема и обработки сигналов, что особенно проявляется в диапазонах УКВ и СВЧ.

Для устранения указанных недостатков диодных преобразователей частоты применяют балансные преобразователи, исключающие, в частности, излучение сигнала гетеродина. Для устранения взаимной связи цепей гетеродина и входного сигнала, а также компенсации токов входного сигнала и сигнала гетеродина в нагрузке используют двойные балансные преобразователи частоты, получившие название кольцевых преобразователей (рис. 3.5). В таком преобразователе диоды включены так, что образуют кольцо, и на его выходе при симметричном выполнении плеч должны отсутствовать гармонические колебания с частотами ωc и ωг.

Для уменьшения нелинейных искажений при больших уровнях входного сигнала и сигнала гетеродина в каждое плечо преобразователя включается несколько диодов. При этом общее входное напряжение распределяется на диоды, соединенные последовательно. В результате на каждом диоде получается малое напряжение, что приводит к уменьшению нелинейных искажений. Кольцевые преобразователи частоты используются, как правило, в диапазоне до нескольких мегагерц, т.к. с повышением частоты затрудняется симметрирование плеч преобразователя, вследствие влияния трудно устранимых паразитных индуктивностей и емкостей элементов преобразователя.

 

 







Date: 2015-09-24; view: 920; Нарушение авторских прав



mydocx.ru - 2015-2026 year. (0.506 sec.) Все материалы представленные на сайте исключительно с целью ознакомления читателями и не преследуют коммерческих целей или нарушение авторских прав - Пожаловаться на публикацию