Главная Случайная страница


Полезное:

Как сделать разговор полезным и приятным Как сделать объемную звезду своими руками Как сделать то, что делать не хочется? Как сделать погремушку Как сделать так чтобы женщины сами знакомились с вами Как сделать идею коммерческой Как сделать хорошую растяжку ног? Как сделать наш разум здоровым? Как сделать, чтобы люди обманывали меньше Вопрос 4. Как сделать так, чтобы вас уважали и ценили? Как сделать лучше себе и другим людям Как сделать свидание интересным?


Категории:

АрхитектураАстрономияБиологияГеографияГеологияИнформатикаИскусствоИсторияКулинарияКультураМаркетингМатематикаМедицинаМенеджментОхрана трудаПравоПроизводствоПсихологияРелигияСоциологияСпортТехникаФизикаФилософияХимияЭкологияЭкономикаЭлектроника






На дифференциальном каскаде





 

Среди аналоговых перемножителей, выполненных по интегральной технологии, наибольшее распространение получили перемножители на дифференциальных парах транзисторов. В таких перемножителях используется метод «переменной крутизны», когда изменение входного напряжения, приложенного к базам дифференциальных пар транзисторов, вызывает пропорциональное изменение крутизны (передаточной динамической проводимости) транзисторов. Основными достоинствами этого метода построения аналоговых перемножителей являются высокая точность, широкая полоса частот, простота реализации по интегральной технологии. Покажем, что дифференциальная пара транзисторов, управляемая напряжением, действительно является аналоговым перемножителем сигналов (рис. 3.1).

В общем случае рассмотрим ситуацию, когда к базам транзисторов VT 1, VT 2 и VT 3 приложены напряжения u c(t) и u г(t), равные мгновенным значениям сигналов u c(t) = U ccosωc t и u г(t) = U гcosωг t.

Выходное напряжение, равное мгновенному значению выходного сигнала смесителя, снимается с коллекторов транзисторов VT 1 и VT 2.

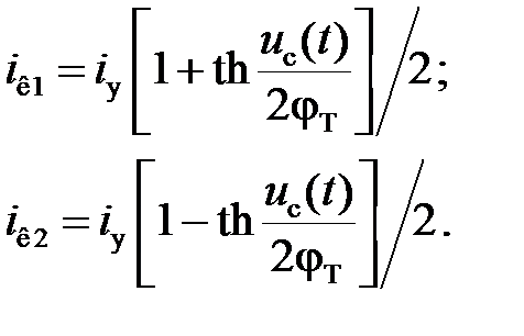
Для транзисторов VT 1 и VT 2 коллекторные токи определяются выражениями:

I к1 = (3.1)

I к2 = (3.2)

где φT = mkT/q – температурный потенциал, равный 26 мВ при 300 К(здесь q – заряд электрона, Т – абсолютная температура, m – постоянная, примерно равная 1, k – постоянная Больцмана); U – напряжение смещения дифференциальной пары транзисторов,

U = U бэ1U бэ2 = φT lnλ. (3.3)

Здесь λ = i эо2/ i эо1; i эо1 и i эо2 – тепловые токи эмиттерных переходов транзисторов VT 1 и VT 2.

+
E
E
R
н
R
н
R
 
VT
 
VT
 
VT
 
u
вых
(
t
)
u
c
(
t
)
u
г
(
t
)
i
y
 
i
к
 
=
xi
y
i
к
 
=(1
-
x) i
y
i
э2
i
 
 

Рис. 3.1. Принципиальная схема дифференциального делителя тока, управляемого напряжением

 

При условии, что транзисторы в интегральном исполнении идентичны по своим параметрам и что коэффициент усиления тока α0 примерно равен единице при U = 0, уравнения (3.1) и (3.2) можно представить в виде

(3.4)

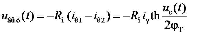
Тогда выходное напряжение u вых(t) дифференциальной пары транзисторов

. (3.5)

При малых значениях входных сигналов (| U c| << φT) выходное напряжение u вых(t) дифференциальной пары транзисторов равно произведению напряжения u c(t) на величину эмиттерного тока i y:

u вых(t) = – R н u c(t) i y /2φT = const ∙u c(t). (3.6)

Учитывая, что i y = i y0exp(u г(t)/φT), где i y0 – тепловой ток коллектора перехода транзистора VT 3 (рис. 3.1), видим, что в общем случае дифференциальная пара транзисторов является нелинейным аналоговым перемножителем входного сигнала u c(t) и сигнала гетеродина u г(t).

Близкой к линейной операция перемножения получается лишь при напряжениях u c(t) и u г(t), не превышающих нескольких милливольт. Кроме того, масштабный коэффициент φ T в формуле (3.6) является функцией абсолютной температуры Т, что приводит к существенной зависимости величины выходного напряжения перемножителя от температуры.

Гетеродин
u
c
(
t
)
C
 
R
 
+
E
L
 
L
 
VT
 
i
э1
L
 
L
 
u
пч
i
э2
L
 
L
 
u
г
i
к
VT
 
VT
 
R
 
+
E
R
 
R
 
R
 
R
 
R
 
+
E
C
 
C
 
C
 

Рис. 3.2. Принципиальная схема преобразователя на основе

аналогового перемножителя на дифференциальном каскаде

 

Принципиальная схема преобразователя частоты на основе аналогового перемножителя на дифференциальном каскаде приведена на рис. 3.2. С помощью напряжения гетеродина происходит управление работой транзисторов VT 1 и VT 2. Напряжение сигнала, снимаемое с катушки связи L 2, управляет работой транзистора VT 1. Ток коллектора транзистора VT 3 равен сумме токов i э1 и i э2 транзисторов VT 1 и VT 2. Тогда, если под воздействием напряжения u c(t) транзистор VT 1 открывается и ток i э1 увеличивается, то транзистор VT 2 закрывается, а ток эмиттера i э2 уменьшается на такую же величину. Противоположные изменения токов коллекторов VT 1 и VT 2 в катушке L 4 приводят к удвоенному, по сравнению с преобразователем частоты на транзисторе или диоде, значению ЭДС, наводимой в катушке L 3.


Контур L 4 C 2 имеет резонансную частоту, равную промежуточной частоте, например, ωп.ч = ωг – ωс. В этом случае на выходе преобразователя частоты выделяется напряжение u пч равное мгновенному значению сигнала u пч (t) промежуточной частоты.

Достоинством схемы (см. рис. 3.2), помимо удвоенного значения коэффициента передачи, является подавление колебания гетеродина на выходе преобразователя частоты, так как токи с частотой гетеродина в катушке L 4 направлены навстречу друг другу. По той же причине в такой схеме наблюдается ослабление шумов гетеродина и уменьшение степени их прохождения на выход смесителя. Как и в усилительных двухтактных схемах, в данных преобразователях частоты подавляются четные гармоники входного сигнала.

Недостатком аналогового преобразователя частоты (см. рис. 3.2) является то, что по отношению к сигналу, имеющему частоту, равную промежуточной, он ведет себя как резонансный усилитель напряжения с относительно высоким коэффициентом усиления. В устройствах приема и обработки сигналов для предотвращения прохождения колебания промежуточной частоты с входа такого преобразователя на его выход применяют различные меры подавления колебания этой частоты. Например, параллельно входу подключают последовательный резонансный контур, настроенный на частоту f пч, который выполняет роль шунтирующего контура.

 

 







Date: 2015-09-24; view: 795; Нарушение авторских прав



mydocx.ru - 2015-2026 year. (0.843 sec.) Все материалы представленные на сайте исключительно с целью ознакомления читателями и не преследуют коммерческих целей или нарушение авторских прав - Пожаловаться на публикацию