Главная Случайная страница


Полезное:

Как сделать разговор полезным и приятным Как сделать объемную звезду своими руками Как сделать то, что делать не хочется? Как сделать погремушку Как сделать так чтобы женщины сами знакомились с вами Как сделать идею коммерческой Как сделать хорошую растяжку ног? Как сделать наш разум здоровым? Как сделать, чтобы люди обманывали меньше Вопрос 4. Как сделать так, чтобы вас уважали и ценили? Как сделать лучше себе и другим людям Как сделать свидание интересным?


Категории:

АрхитектураАстрономияБиологияГеографияГеологияИнформатикаИскусствоИсторияКулинарияКультураМаркетингМатематикаМедицинаМенеджментОхрана трудаПравоПроизводствоПсихологияРелигияСоциологияСпортТехникаФизикаФилософияХимияЭкологияЭкономикаЭлектроника






Двойного балансного смесителя





 

Преобразователь построен на основе трех дифференциальных усилителей, каждый из которых работает в режиме управляемого напряжением делителя тока (см. рис. 3.1). На рис. 3.3 приведена схема такого аналогового перемножителя. С учетом выражений (3.1) и (3.2) при U = 0 запишем выражение для коллекторных токов VT 5 и VT 6 в виде

, (3.7)

, (3.8)

где

, (3.9)

. (3.10)

Тогда для коллекторных токов VT 1– VT 4 получим

(3.11)
,

,

(3.12)
,

.

С учетом формул (3.11), (3.12) из рис. 3.3 имеем

, (3.13)

. (3.14)

 

u 1(t)
 
VT 5
VT 4
VT 2
VT 3
VT 1
i к6
i к5
i к4
i к3
i к2
i к1
i 0
Е
R н
R н
i 2
i 1  
+ Е
u с(t)
u вых(t)
VT 6

 

Рис. 3.3. Схема преобразователя частоты на основе

двойного балансного смесителя

 

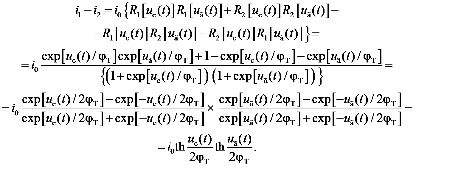
Вычитая выражение (3.13) из (3.14) и подставляя формулы (3.9) и (3.10), получаем

(3.15)

 

При малых значениях u c и u г , раскладывая функцию th(x) в степенный ряд и ограничиваясь лишь первыми членами разложения, имеем

. (3.16)

Выходное напряжение u вых(t), как видно из рис. 3.3, будет определяться выражением

. (3.17)

Выходное напряжение преобразователя частоты на основе двойного балансного смесителя оказывается пропорциональным значению произведения u c u г при малых значениях напряжений (U c, U г << φT).

Так, например, если на входах такого перемножителя, работающего в режиме, близком к линейному, присутствуют колебания u c(t) = U ccosωc t и u г(t) = U г cosωг t, то напряжение на его выходе

При преобразовании частоты одно из этих двух колебаний отфильтровывается в нагрузке. Побочные колебания с частотами ωп = |± m ωг ± n ωс| возникают вследствие нелинейности перемножения сигналов u c(t) и u г(t), причем, как и в преобразователях частоты на основе дифференциальных каскадов, с увеличением степени нелинейности уровни этих колебаний с частотой ωп повышаются.

 

 







Date: 2015-09-24; view: 948; Нарушение авторских прав



mydocx.ru - 2015-2026 year. (0.649 sec.) Все материалы представленные на сайте исключительно с целью ознакомления читателями и не преследуют коммерческих целей или нарушение авторских прав - Пожаловаться на публикацию