Главная Случайная страница


Полезное:

Как сделать разговор полезным и приятным Как сделать объемную звезду своими руками Как сделать то, что делать не хочется? Как сделать погремушку Как сделать так чтобы женщины сами знакомились с вами Как сделать идею коммерческой Как сделать хорошую растяжку ног? Как сделать наш разум здоровым? Как сделать, чтобы люди обманывали меньше Вопрос 4. Как сделать так, чтобы вас уважали и ценили? Как сделать лучше себе и другим людям Как сделать свидание интересным?


Категории:

АрхитектураАстрономияБиологияГеографияГеологияИнформатикаИскусствоИсторияКулинарияКультураМаркетингМатематикаМедицинаМенеджментОхрана трудаПравоПроизводствоПсихологияРелигияСоциологияСпортТехникаФизикаФилософияХимияЭкологияЭкономикаЭлектроника






Неоклассическая модель. Модель Р. Солоу





Модель экономического роста Солоу является необходимой отправной точкой практически всех исследований экономическо­го роста. С ее помощью выявляются причины временного и по­стоянного устойчивого роста экономики и существование межстрановых различий в уровне жизни населения.

В модели рассматриваются четыре переменные: выпуск Y, ка­питал К, труд L и эффективность труда одного работника Е, зави­сящая от состояния его здоровья, образования и квалификации. Переменная Е отражает уровень «знаний», накопленных в обще­стве, или трудосберегающий тип научно-технического прогресса, под влиянием которого повышается эффективность труда одного работника[5].

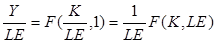
Выпуск Y может изменяться во времени только при изменении во времени факторов производства: К, L, Е. Изменение численно­сти работников и эффективности труда Е всегда рассматриваются совместно: в каждый момент времени в экономике насчитывается L работников с возросшей эффективностью труда или возросшее число работников с постоянной (начальной) эффективностью труда (LЕ). Таким образом, выпуск описывается производствен­ной функцией Y=F(K,LE).

Относительно производственной функции кроме обычных свойств предполагается:

1) несущественность влияния других факторов производства, в частности земли и природных ресурсов;

2) постоянная отдача от масштаба. Экономически такая пред­посылка соответствует достаточно большой экономике, для которой выигрыш от специализации себя исчерпал, и по­этому новые факторы производства используются тем же технологическим способом, что и уже существующие.

Последнее предположение позволяет перейти к производст­венной функции в интенсивной форме – в расчете на единицу труда с постоянной эффективностью – Обозначим – уровень капиталовооруженности одного работника с постоянной эффективностью труда; – производительность труда одного работника с постоянной эффектив­ностью труда. Получим зависимость производительности труда от уровня капиталовооруженности

Таким образом, выпуск в расчете на единицу труда с постоян­ной эффективностью зависит только от уровня капиталовоору­женности и не зависит от масштаба экономики.

В модели предполагается, что выпуск в экономике расходуется на потребление и инвестиции, государство отсутствует, экономика закрытая, так что основное тождество национальных счетов имеет вид , где с, i соответственно потребление и инвестиции на единицу труда с неизменной эффективностью.

Считается, что все, что сберегается, инвестируется, т.е. инве­стиции равны сбережениям. Одна единица инвестиций превраща­ется без дополнительных издержек в одну единицу нового капи­тала. Лаг отсутствует. Сбережения пропорциональны доходу. Норма сбережения s задается экзогенно и постоянна во времени (0 < s < 1). Таким образом,

Понятия «население» и «рабочая сила» совпадают.

Существующий капитал изнашивается с нормой в год. Тогда изменение запаса капитала определяется разностью общей ве­личины инвестиций sY и износа капитала , т.е. .

В расчете на единицу труда с постоянной эффективностью уровень капиталовооруженности изменится на величину

,

где – темп роста численности населения, – темп
роста технологического прогресса.

.

Данное соотношение является ключевым в модели. Оно утвер­ждает, что величина изменения уровня капиталовооруженности одного работника с постоянной эффективностью труда определяет­ся соотношением двух величин в расчете на одного работника – инвестиций , фактически произведенных в экономике, и ве­личины инвестиций, необходимых для того, чтобы сохранять дос­тигнутый уровень k в условиях роста населения с темпом n, роста эффективности труда с темпом g и выбытием капитала с нормой .

Таким образом, в экономике уровень капиталовооруженности k падает, если фактические инвестиции меньше, чем необходимые для сохранения уровня k, и возрастает, если .

Вводится понятие устойчивого стационарного уровня при котором капиталовооруженность перестает меняться , т.е. величины фактических и необходимых инвестиций совпадают (рис. 3):

В устойчивом состоянии неизменно, постоянна и производительность труда работника с постоянной эффективностью . Общий объем производства растет с темпом , а производительность труда растет с темпом g так же каки уровень капиталовооруженности труда:

.

Более подробная характеристика устойчивого состояния экономики приведена в таблице 1. Из таблицы 1 видно, что рост производительности труда в ус­тойчивом состоянии определяется исключительно темпом роста технологического прогресса.


Рис. 3 Устойчивые уровни капиталовооруженности, инвестиций
и выпуска на душу населения

В отсутствие технологического прогресса для экономики с растущим населением в устойчивом состоянии уровень капиталовооруженности остается постоянным, производительность труда не меняется, общий вы­пуск и общий запас капитала растут с темпом, равным темпу рос­та населения п.

Если же отсутствуют и рост населения, и технологический про­гресс, то в устойчивом состоянии при постоянном уровне капита­ловооруженности производительность труда, общий выпуск и об­щий запас капитала остаются неизменными.

Таблица 1

Темпы роста показателей в устойчивом состоянии экономики

Показатели При НТП и росте населения , При отсутствии НТП и росте населения , При отсутствии НТП и роста населения ,
Капиталовооруженность работника с постоянной эффективностью 0
Капиталовооруженность работника g 0 0
Общий запас капитала n+g n 0
Производительность труда одного работника с постоянной эффективностью 0
Производительность труда одного работника g 0 0
Общий выпуск n+g n 0

Таким образом, причинами, определяющими рост общего вы­пуска и общего запаса капитала в устойчивом состоянии, являют­ся увеличение численности населения и технологический про­гресс, а устойчивый рост производительности труда и капиталовооруженности достигается только при наличии технологического прогресса.

Изменение численности населения влияет на величину устой­чивого уровня капиталовооруженности, но не влияет на темпы роста производительности труда и капиталовооруженности в ус­тойчивом состоянии.

Изменение запаса капитала в результате роста инвестиций ве­дет к росту выпуска на душу населения только в период перехода к устойчивому состоянию. После достижения этого состояния рост определяется научно-техническим прогрессом.







Date: 2015-09-18; view: 641; Нарушение авторских прав



mydocx.ru - 2015-2026 year. (0.704 sec.) Все материалы представленные на сайте исключительно с целью ознакомления читателями и не преследуют коммерческих целей или нарушение авторских прав - Пожаловаться на публикацию