Главная Случайная страница


Полезное:

Как сделать разговор полезным и приятным Как сделать объемную звезду своими руками Как сделать то, что делать не хочется? Как сделать погремушку Как сделать так чтобы женщины сами знакомились с вами Как сделать идею коммерческой Как сделать хорошую растяжку ног? Как сделать наш разум здоровым? Как сделать, чтобы люди обманывали меньше Вопрос 4. Как сделать так, чтобы вас уважали и ценили? Как сделать лучше себе и другим людям Как сделать свидание интересным?


Категории:

АрхитектураАстрономияБиологияГеографияГеологияИнформатикаИскусствоИсторияКулинарияКультураМаркетингМатематикаМедицинаМенеджментОхрана трудаПравоПроизводствоПсихологияРелигияСоциологияСпортТехникаФизикаФилософияХимияЭкологияЭкономикаЭлектроника






Кейнсианская модель. Модель Харрода-Домара





Модель Е.Домара. Наиболее простой кейнсианской моделью является модель Е.Домара, предложенная в конце 40-х годов. Технология производства представлена в ней производственной функций Леонтьева с постоянной предельной производительностью капитала (при условии, что труд не является дефицитным ресурсом). Модель Домара исходит из того, что на рынке труда существует избыточное предложение, что обуславливает постоянство уровня цен. Выбытие капитала отсутствует, отношение K/Y и норма сбережений - постоянны. Выпуск зависит фактически от одного ресурса- капитала. Для простоты можно принять также инвестиционный лаг равный нулю.

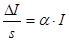
Фактором увеличения спроса и предложения в экономике служит прирост инвестиций, если в данном периоде инвестиции выросли на , то, в соответствие с эффектом мультипликатора, совокупный спрос возрастет на величину

где m - мультипликатор расходов, b - предельная склонность к потреблению,
s - предельная склонность к сбережению.

Увеличение совокупного предложения составит,

 
 

где - предельная производительность капитала (по условию - постоянна). Прирост капитала обеспечивается соответствующим объемом инвестиций I, потому можно записать:

Равновесный экономический рост будет достигнут при условии равенства спроса и предложения или , т.е темп прироста инвестиций должен быть равен произведению предельной производительности капитала и предельной склонности к сбережению. Величина задается технологией производства и, в соответствии с принятыми предпосылками, постоянна, а значит увеличить темпы прироста инвестиций может лишь рост нормы сбережений s (но для рассматриваемого периода она берется постоянной).

Поскольку в условиях равновесия инвестиции равны сбережениям, I=S, a S=sY при s=const, уровень дохода является величиной пропорциональной уровню инвестиций, и тогда

Таким образом, согласно теории Домара, существует равновесный тип прироста реального дохода в экономике, при котором полностью используются имеющиеся производственные мощности. Он прямо пропорционален норме сбережений и предельной производительности капитала, или приростной капиталоотдаче (). Инвестиции доход растут с постоянным одинаковым во времени темпом.

Такое динамическое равновесие может оказаться неустойчивым, как только темп роста плановых инвестиций частного сектора отклоняется от уровня, заданного моделью.

Модель Е. Домара не претендовала на роль теории роста. Это была попытка расширить условия краткосрочного кейнсианского равновесия на более длительный период и выяснить, какими будут эти условия для развивающейся системы.

Модель Харрода. Р.Ф. Харрод построил специальную модель экономиче­ского роста (1939г.), включив в неё экзогенную функцию ин­вестиций (в отличие от экзогенно заданных инвестиций у Домара) на основе принципа акселератора и ожиданий предпри­нимателей (предпосылки модели Харрода остаются теми же, что и в модели Домара).

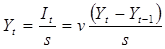
Согласно принципу акселератора, любой рост (сокращение) дохода вызывает рост (сокращение) капитало­вложений, пропорциональный изменению дохода – , где v – акселератор.

Предприниматели планируют объем собственного произ­водства, исходя из ситуации, сложившейся в экономике в предшествующий период: если их прошлые прогнозы относи­тельно спроса оказались верными и спрос полностью уравно­весил предложение, то в данном периоде предприниматели оставят темпы роста объема выпуска неизменными; если спрос в экономике был выше предложения, они увеличат тем­пы расширения производства; если предложение превышало спрос в предшествующем периоде, они снизят темпы роста. Формализовать это можно следующим образом:

, где а=1, если спрос в предшествующем периоде (t-1) был ра­вен предложению; а>1, если спрос превысил предложение и а<1, если спрос был ниже предложения. Отсюда получим объ­ём предложения в экономике:

.

Для определения совокупного спроса используется модель акселератора (а также условие равенства I=S):

Равновесный экономический рост предлагает равенство совокупного спроса и предложения:

, или .

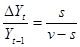
Предположим, что в предшествующем периоде спрос был равен предложению, т.е. а=1. Тогда, в соответствии с приня­тыми условиями поведения, предприниматели и в текущем периоде сохранят темпы роста производства такими же, как и в предшествующем периоде, т.е.

.

Тогда предыдущее выражение можно представить сле­дующим образом:

, отсюда равновесный темп прироста объёма выпуска составит:

. Харрод назвал выражение s/(v-s) «гарантированным» темпом роста: поддерживая его, предприниматели будут полностью удовле­творены своими решениями, поскольку спрос будет равен предложению и их ожидания будут сбываться. Такой темп рос­та обеспечивает полное использование производственных мощностей (капитала), но полная занятость при этом не все­гда достигается. Анализ соотношений между гарантированным и фактиче­ским темпами роста позволил сделать следующий вывод: если фактически запланированный предпринимателями темп роста предложения отличается от гарантированного темпа роста (превышает или не достигает его), то система постепенно от­даляется от состояния равновесия.


Помимо гарантированного темпа роста Харрод вводит по­нятие "естественного" темпа роста. Это максимальный темп, допускаемый ростом активного населения и техническим прогрессом. При таком темпе достигается полная занятость факторов труда и капитала.

Если гарантированный темп роста, удовлетворяющий предпринимателей, выше естественного, то вследствие недостатка трудовых ресурсов фактический темп окажется ниже гарантированного: производители будут разочаровываться в своих ожиданиях, снизят объём выпуска и инвестиции, в результате чего система будет находиться в состоянии депрессии.

Если гарантированный темп роста меньше естественного, то фактический темп может превысить гарантированный, поскольку существующий избыток трудовых ресурсов даёт возможность увеличить инвестиции. Экономическая система будет переживать бум. Фактический темп роста может быть также равен гарантированному, и тогда экономика будет развиваться в условиях динамического равновесия, вполне удовлетворяющих предпринимателей, но при наличии вынужденной безработицы.

Идеальное развитие экономической системы достигается при равенстве гарантированного, естественного и фактического темпов роста в условиях полной занятости ресурсов. Но поскольку всякое отклонение инвестиций от условий гарантированного темпа роста, как известно, выводит систему из равновесия и сопровождается все более увеличивающимся расхождением между спросом и предложением, динамическое равновесие в модели Харрода также оказывается неустойчивым.

Часто обе модели объединяют в одну модель Харрода-Домара. Обе модели приводят к выводу, что при данных технических условиях производства темп экономического роста определяется величиной предельной склонности к сбережению, а динамическое равновесие может существовать в условиях неполной занятости.

Ограниченность данных моделей задана уже предпосылками их анализа. Например, используемая в них производственная функция Леонтьева характеризуется отсутствием взаимозаменяемости факторов производства - труда и капитала, что в современных условиях не всегда соответствует действительности.

 

 







Date: 2015-09-18; view: 691; Нарушение авторских прав



mydocx.ru - 2015-2026 year. (1.385 sec.) Все материалы представленные на сайте исключительно с целью ознакомления читателями и не преследуют коммерческих целей или нарушение авторских прав - Пожаловаться на публикацию