Главная Случайная страница


Полезное:

Как сделать разговор полезным и приятным Как сделать объемную звезду своими руками Как сделать то, что делать не хочется? Как сделать погремушку Как сделать так чтобы женщины сами знакомились с вами Как сделать идею коммерческой Как сделать хорошую растяжку ног? Как сделать наш разум здоровым? Как сделать, чтобы люди обманывали меньше Вопрос 4. Как сделать так, чтобы вас уважали и ценили? Как сделать лучше себе и другим людям Как сделать свидание интересным?


Категории:

АрхитектураАстрономияБиологияГеографияГеологияИнформатикаИскусствоИсторияКулинарияКультураМаркетингМатематикаМедицинаМенеджментОхрана трудаПравоПроизводствоПсихологияРелигияСоциологияСпортТехникаФизикаФилософияХимияЭкологияЭкономикаЭлектроника






Задачи для самостоятельного решения. В задачах 2.1.1-2.1.2. найти матрицы и . 2.3.1





В задачах 2.1.1-2.1.2. найти матрицы и .

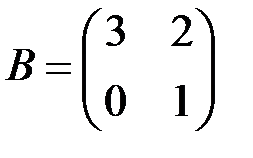
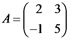
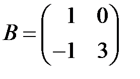
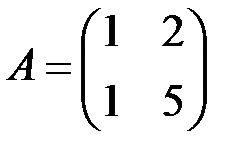
2.3.1. , . 2.3.2. , .

В задачах 2.3.3-2.3.4 найти и .

2.3.3. , . 2.3.4. , .

 

В задачах 2.3.5-2.3.6 найти и .

2.3.5. , . 2.3.6. , .

2.3.7. Найти и , если , .

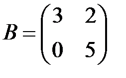
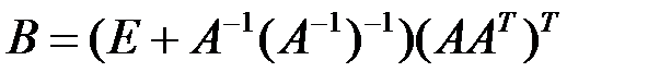
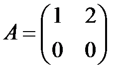
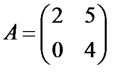
2.3.8. Найти , если , .

2.3.9. Для матрицы найти и .

2.3.10. Для матрицы найти и .

2.3.11. Для матриц и найти , , …, и ,

2.3.12. Для матрицы найти ,

2.3.13. Известно, что , где -матрица, а -матрица. Найти размеры матрицы .

2.3.14. Известно, что , где -матрица, а -матрица, а -матрица. Найти , и .

2.3.15. Пусть , и . Существуют ли следующие произведения:

a) , b) , c) , d) , e) , f) .

2.3.16. Даны матрицы , и и . Существуют ли следующие произведения:

a) , b) , c) ,
d) , e) , f) ,
g) h) , i) .

 

В задачах 2.3.17-2.3.18 для матрицы найти обратную матрицу .

2.3.17. . 2.3.18. .

 

В задачах 2.3.19-2.2.20 выяснить является ли матрица обратимой.

2.3.19. . 2.3.20. .

 

В задачах 2.3.21-2.2.22 найти матрицу, обратную к заданной.

2.3.21. . 2.3.22. .

2.3.23. Решить матричное уравнение , где , .

2.3.24. Решить матричное уравнение , где , .

2.3.25. Упростить выражение , где и – квадратные матрицы одного порядка.

2.3.26. Пусть – квадратная матрица с ненулевым определителем.

1) Упростить выражение для матрицы ;

2) доказать, что .

2.3.27. Пусть – квадратная матрица второго порядка с ненулевым определителем. Найти .

2.3.28. Пусть – квадратная матрица третьего порядка с . Найти .








Date: 2015-09-18; view: 514; Нарушение авторских прав



mydocx.ru - 2015-2026 year. (1.205 sec.) Все материалы представленные на сайте исключительно с целью ознакомления читателями и не преследуют коммерческих целей или нарушение авторских прав - Пожаловаться на публикацию