Главная Случайная страница


Полезное:

Как сделать разговор полезным и приятным Как сделать объемную звезду своими руками Как сделать то, что делать не хочется? Как сделать погремушку Как сделать так чтобы женщины сами знакомились с вами Как сделать идею коммерческой Как сделать хорошую растяжку ног? Как сделать наш разум здоровым? Как сделать, чтобы люди обманывали меньше Вопрос 4. Как сделать так, чтобы вас уважали и ценили? Как сделать лучше себе и другим людям Как сделать свидание интересным?


Категории:

АрхитектураАстрономияБиологияГеографияГеологияИнформатикаИскусствоИсторияКулинарияКультураМаркетингМатематикаМедицинаМенеджментОхрана трудаПравоПроизводствоПсихологияРелигияСоциологияСпортТехникаФизикаФилософияХимияЭкологияЭкономикаЭлектроника






Определение расчетных тепловых потоков





 

Согласно [1] максимальный тепловой поток на отопление промышленного здания:

(1)

Максимальный тепловой поток на вентиляцию промышленного здания:

(2)

Средний тепловой поток, Вт, на горячее водоснабжение для зданий:

(3)

Максимальный тепловой поток на горячее водоснабжение промышленного здания:

(4)

где:

укрупнённый показатель максимального теплового потока на отопление промышленных зданий на 1 общего объема [2], ;

укрупнённый показатель максимального теплового потока на вентиляцию промышленных зданий на 1 общего объема [2];

строительный объем здания, ;

норма расхода воды в жилых зданиях, 85….115 л/сут на одного человека (в данной работе ;

норма расхода воды в общественных зданиях, 25л/сут на одного человека;

ti – расчетная температура в помещении, °С;

to, tv – расчетные температуры для проектирования систем отопления и вентиляции, °С;

th – температура воды в системе ГВС, th=55°С;

tc - температура холодной воды, tc=5°С;

с – теплоемкость воды, с = 4,19 кДж/кг °С.

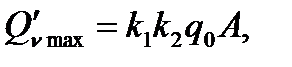
Максимальный тепловой поток, Вт, на отопление жилых и общественных зданий:

(5)

Средний тепловой поток на отопление, Вт, следует определять

(6)

Максимальный тепловой поток, Вт, на вентиляцию общественных зданий

(7)

Средний тепловой поток, Вт, на вентиляцию при t0

(8)

Максимальный тепловой поток, Вт, на горячее водоснабжение жилых и общественных зданий

(9)

где

q0 – укрупнённый показатель максимального теплового потока на отопление жилых зданий на 1 м2 общей площади [2];

k1 – коэффициент, учитывающий тепловой поток на отопление общественных зданий, при отсутствии данных принять k1=0.25 [2];

k2 – коэффициент, учитывающий тепловой поток на отопление общественных зданий, при отсутствии данных следует принимать равным: для общественных зданий, построенных до 1985 г. k2=0.4, после 1985 г. k2=0.6 [2];

A – общая площадь жилых зданий, м2;

qh – укрупнённый показатель среднего теплового потока на горячее водоснабжение на одного человека.

Строительные объемы промышленных зданий

(10)

1. Кузнечный цех

2. Механосборочный цех

3. Цех покрытий металлами

4. Локомотивное депо

5. Склад химикатов

6. Склад моделей

7. Проходная

8. Административное здание

9. Чугунолитейный цех

10. Сталелитейный цех

11. Меднолитейный цех

12. Столовая на 120 мест

13. Тепловой пункт

14. Модульная котельная

 

Нагрузка на отопление.

1.

2.

3.

4.

5.

6.

7.

8.

9.

10.

11.

12.

 

Нагрузка на вентиляцию.

1.

2.

3.

4.

5.

8.

9.

10.

11.

12.

 

Горячее водоснабжение:

(11)

1. Столовая

количество реализованных блюд в час;

норма потребления горячей воды 4 л на блюдо;

1,2 – коэфициент учитывающий теплоотдачу в помещения от трубопроводов систем горячего водоснабжения;

N – количество посадочных мест;

Р- количество посадок в час;

2. Душевые

число душевых сеток (примем 36 шт).

норма потребления горячей воды на одну сетку, 270 л/ч;

время работы душевых сеток 45 мин за сутки;

3. Умывальников общего пользования

Принимаем:

· в цехах – 16 умывальников,

· в административном здании – 12 умывальников,

· в столовой - 4 умывальника

получаем

норма потребления горячей воды 55 л/ч

 

Суммарная тепловая нагрузка:

· на отопление: ;

· на вентиляцию:

· на горячее водоснабжение:

 

 


 







Date: 2015-09-18; view: 1342; Нарушение авторских прав



mydocx.ru - 2015-2026 year. (2.897 sec.) Все материалы представленные на сайте исключительно с целью ознакомления читателями и не преследуют коммерческих целей или нарушение авторских прав - Пожаловаться на публикацию