Главная Случайная страница


Полезное:

Как сделать разговор полезным и приятным Как сделать объемную звезду своими руками Как сделать то, что делать не хочется? Как сделать погремушку Как сделать так чтобы женщины сами знакомились с вами Как сделать идею коммерческой Как сделать хорошую растяжку ног? Как сделать наш разум здоровым? Как сделать, чтобы люди обманывали меньше Вопрос 4. Как сделать так, чтобы вас уважали и ценили? Как сделать лучше себе и другим людям Как сделать свидание интересным?


Категории:

АрхитектураАстрономияБиологияГеографияГеологияИнформатикаИскусствоИсторияКулинарияКультураМаркетингМатематикаМедицинаМенеджментОхрана трудаПравоПроизводствоПсихологияРелигияСоциологияСпортТехникаФизикаФилософияХимияЭкологияЭкономикаЭлектроника






Расчет интенсивностей потоков в стохастических сетях





Конечная цель исследования функционирования СМО состоит в нахождении характеристик устройств вычислительной системы и системы в целом. Для проведения такого расчета необходимо знание интенсивностей потоков запросов к отдельным устройствам.

Обозначим интенсивности потоков на входах (n+ 1)-го устройств (подсистем) соответственно λ1, λ2,…, λn и вероятности переходов рij, , . Количество запросов на входе и выходе каждой подсистемы одинаково (рис.1.17). Тогда суммарный поток на входе i -й подсистемы можно определить

 

P0i

Sj
Si
Pj0

λi

λj

Pji

λj

Pni

Pjn

Рис.1.17

в виде суммы произведений выходных потоков от всех других подсистем вычислительной системы на соответствующие вероятности передач, т.е.

.

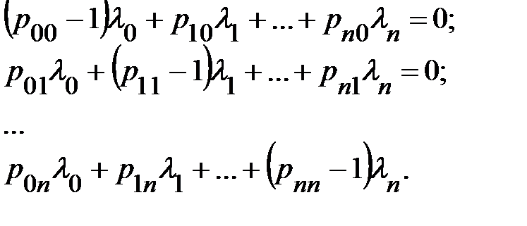
Соответствующая данной записи каноническая форма записи системы алгебраических уравнений (n +1)-го порядка имеет вид

 

Решение этой системы может выполняться для n неизвестных. Рассматриваем два случая:

а) разомкнутая система (стохастическая сеть); λ0 известно (задано) и интенсивности потоков могут быть определены.

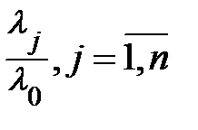
б) замкнутая система; λ0 неопределенно; в данном случае осуществляется уменьшение размерности неизвестных путем перехода к представлению системы алгебраических уравнений с использованием коэффициентов передач δj и определению в конечном счете этих коэффициентов:

δj = .

Значение δj характеризует среднее количество обращений на входе подсистемы (устройства), приходящееся на одну входную в систему заявку.

Рассмотрим пример расчета интенсивностей потоков для разомкнутой стохастической системы (см. рис. 1.9). Граф передач имеет представленный на рис.1.19 вид.

 
 
S1
 
 
S2
 
S3
 
 
l0
l0


 

Рис.1.18

 

 

S0
S1
S2
S3
P01
P13
P10
P12
P31
P21

 

 


Рис.1.19

 

Задано: l0 = 5 с-1; P10 = 0,1; P12 = 0,4; P13 = 0,5. Матрица вероятностей передач представлена в приводимой ниже таблице.

S0 S1 S2 S3 S0 0 1 0 0 S1 P10 0 P12 P13 S2 0 1 0 0 S3 0 1 0 0

 

 


Соответствующая система алгебраических уравнений представляется в виде

 

 

l0 P00 + l1 P10 + l2 P20 + l3 P30 = l0 ;

l0 P01 + l1 P11 + l2 P21 + l3 P31 = l1 ;

l0 P02 + l1 P12 + l2 P22 + l3 P32 = l2 ;

l0 P03 + l1 P13 + l2 P23 + l3 P33 = l3 .

При подстановке значений вероятностей, равных 0 и 1, имеем:

l1 P10 = l0 ;

l0 + l2 + l3 = l1 ;

l1 P12 = l2 ;

l1 P13 + l2 P23 = l3.

Решением данной системы являются значения l1 = 50; l2 = 20; l3 = 25.







Date: 2015-09-05; view: 486; Нарушение авторских прав



mydocx.ru - 2015-2026 year. (1.308 sec.) Все материалы представленные на сайте исключительно с целью ознакомления читателями и не преследуют коммерческих целей или нарушение авторских прав - Пожаловаться на публикацию