Главная Случайная страница


Полезное:

Как сделать разговор полезным и приятным Как сделать объемную звезду своими руками Как сделать то, что делать не хочется? Как сделать погремушку Как сделать так чтобы женщины сами знакомились с вами Как сделать идею коммерческой Как сделать хорошую растяжку ног? Как сделать наш разум здоровым? Как сделать, чтобы люди обманывали меньше Вопрос 4. Как сделать так, чтобы вас уважали и ценили? Как сделать лучше себе и другим людям Как сделать свидание интересным?


Категории:

АрхитектураАстрономияБиологияГеографияГеологияИнформатикаИскусствоИсторияКулинарияКультураМаркетингМатематикаМедицинаМенеджментОхрана трудаПравоПроизводствоПсихологияРелигияСоциологияСпортТехникаФизикаФилософияХимияЭкологияЭкономикаЭлектроника






Структура многопроцессорной ВС с индивидуальной памятью и её характеристики





На рис. 1.22. представлен вариант структуры многопроцессорной ВС с индивидуальной памятью.

 

 

МП1
ВУ
Пр1 БО  
КВВ
МП2
Пр2 БО  
МПN
ПрN БО
КВВ
ВУ
ВУ
ВУ
ОП

 

 


Рис. 1.22

Для многопроцессорных ВС с индивидуальной памятью приходящий запрос поступает в очередь только к тому процессору, в памяти которого находится необходимая для обработки этого запроса программа. Поэтому модель в данном случае отображается без учета внешних устройств в виде совокупности одноканальных СМО. (рис. 1.23).

Рис. 1.23

Характеристики в данном случае необходимо рассматривать для каждого процессора отдельно.

1) Загрузка процессора

; .

2) Среднее время пребывания заявки в очереди. Для расчёта используются те же формулы, что и для многопроцессорной системы с общей памятью, но при N =1.

; ; .

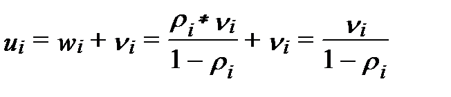
3) Среднее время пребывания заявки в одноканальной системе

.

4) Средняя длина очереди

5) Количество заявок в системе (которые находятся в очереди и на обслуживании)

.

6) Усреднённый однородный входной поток в системе

.

7) Среднее по системе время ожидания в очереди

.

8) Среднее время пребывания заявки в системе

.







Date: 2015-09-05; view: 514; Нарушение авторских прав



mydocx.ru - 2015-2026 year. (0.186 sec.) Все материалы представленные на сайте исключительно с целью ознакомления читателями и не преследуют коммерческих целей или нарушение авторских прав - Пожаловаться на публикацию