Главная Случайная страница


Полезное:

Как сделать разговор полезным и приятным Как сделать объемную звезду своими руками Как сделать то, что делать не хочется? Как сделать погремушку Как сделать так чтобы женщины сами знакомились с вами Как сделать идею коммерческой Как сделать хорошую растяжку ног? Как сделать наш разум здоровым? Как сделать, чтобы люди обманывали меньше Вопрос 4. Как сделать так, чтобы вас уважали и ценили? Как сделать лучше себе и другим людям Как сделать свидание интересным?


Категории:

АрхитектураАстрономияБиологияГеографияГеологияИнформатикаИскусствоИсторияКулинарияКультураМаркетингМатематикаМедицинаМенеджментОхрана трудаПравоПроизводствоПсихологияРелигияСоциологияСпортТехникаФизикаФилософияХимияЭкологияЭкономикаЭлектроника






Оценка совпадения опытного и теоретического законов распределения показателей надежности по критерию согласия Пирсона





 

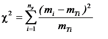
Критерий согласия Пирсона определяется по уравнению:

 

,

 

где nу – число интервалов в укрупненном статистическом ряду,

mi –опытная частота,

mTi – теоретическая частота.

 

,

 

где N–общее количество испытанных двигателей,

интегральные функции i-го и i-1 интервалов статистического ряда.

Для определения строят укрупненный статистический ряд, соблюдая условие:

При этом допускается объединение соседних интервалов, в которых .

 

Таблица 3 –Укрупненный статистический ряд

Теоретические частоты, например, в первом и втором интервалах при ЗНР определяют следующим образом:

Инт. Мото-ч. 1200-1484 1484-1768 1768-2052 2052-2336 2336-2620 2620-2904
Опытная частота            
При ЗНР F(t) 0,21 0,46 0,74 0,91 0,98 1,00
6,1 7,25 8,12 4,93 2,03 0,58
При ЗРВ F(t) 0,25 0,53 0,75 0,9 0,96 0,99
7,25 8,12 6,38 4,35 1,74 0,87

 

 

= 29(0,21-0)= 6,1

= 29(0,46-0,21)= 7,25

= 29(0,74-0,46)= 8,12

= 29(0,91-0,74)= 4,93

= 29(0,98-0,91)= 2,03

= 29(1,00-0,98)= 0,58

 

Теоретические частоты при ЗРВ:

 

= 29(0,25-0)= 7,25

= 29(0,53-0,25)= 8,12

= 29(0,75-0,53)= 6,38

= 29(0,9-0,75)= 4,35

= 29(0,96-0,9)= 1,74

= 29(0,99-0,96)= 0,87

 

 

Критерий согласия Пирсона:

-при законе нормального распределения:

 

 

-при законе распределения Вейбулла:

 

Принимаем ЗНР, т.к =3,41, что меньше =3,91 при ЗРВ. Кроме того, пользуясь критерием согласия и приложением 9, определяем вероятность совпадения теоретического закона с опытным распределением показателя надежности. Для входа в таблицу, необходимо определить номер строки:

 

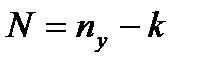
,

где -число интервалов в укрупненном статистическом ряду,

- число обязательных связей

 

N =6-3=3

 

Вероятность совпадения ЗНР составляет около 34%, вероятность совпадения при ЗРВ около 27%. Критической вероятностью совпадения принято считать P=10%. Если P<10%, то выбранный закон следует считать недействительным.

 

 







Date: 2015-09-05; view: 777; Нарушение авторских прав



mydocx.ru - 2015-2026 year. (0.597 sec.) Все материалы представленные на сайте исключительно с целью ознакомления читателями и не преследуют коммерческих целей или нарушение авторских прав - Пожаловаться на публикацию