Главная Случайная страница


Полезное:

Как сделать разговор полезным и приятным Как сделать объемную звезду своими руками Как сделать то, что делать не хочется? Как сделать погремушку Как сделать так чтобы женщины сами знакомились с вами Как сделать идею коммерческой Как сделать хорошую растяжку ног? Как сделать наш разум здоровым? Как сделать, чтобы люди обманывали меньше Вопрос 4. Как сделать так, чтобы вас уважали и ценили? Как сделать лучше себе и другим людям Как сделать свидание интересным?


Категории:

АрхитектураАстрономияБиологияГеографияГеологияИнформатикаИскусствоИсторияКулинарияКультураМаркетингМатематикаМедицинаМенеджментОхрана трудаПравоПроизводствоПсихологияРелигияСоциологияСпортТехникаФизикаФилософияХимияЭкологияЭкономикаЭлектроника






Использование для выравнивания распределения опытной информации закона нормального распределения





 

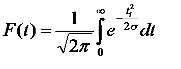
Закон нормального распределения характеризуется дифференциальной (функцией плотностей вероятностей) и интегральной (функцией распределения) функциями. Отличительная особенность дифференциальной функции - симметричное рассеивание частных показателей надежности относительно среднего значения.

Дифференциальная функция описывается уравнением

 

 

Если =0 и , то получим уравнение для центрированной, нормированной дифференциальной функции.

Для определения дифференциальной функции через центрированную нормируемую дифференциальную функцию, используют уравнение:

f(t) = ,

 

где А – длина интервала,

– среднее квадратичное отклонение,

tci – значение середины i-го интервала,

t – среднее значение показателя надежности.

Кроме того, следует пользоваться уравнением

 


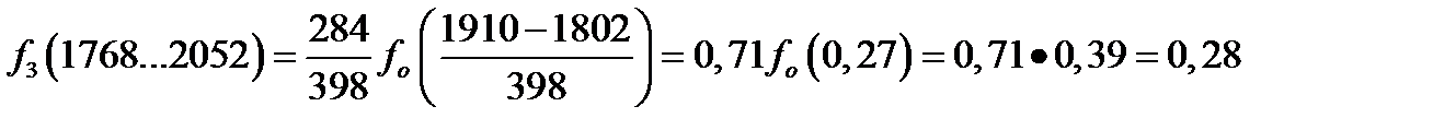
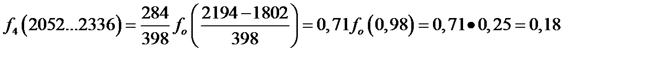
Определим значения дифференциальной функции во всех интервалах статистического ряда

 

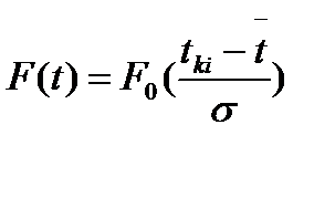
Интегральная функция (функция распределения) ЗНР определяем по уравнению:

 

 


При ti=0 и =1,00,то получим выражение для центрированной нормированной интегральной функции.

 

Для определения интегральной функции через центрированную нормированную функцию, используют уравнение

 

где - значение конца i -го интервала.

При этом используют уравнение

 

Рассчитаем значения интегральной функции для всех интервалов статистического ряда

 

 

Рассчитанные значения функций сводим в таблицу

 

1.3 Таблица – Значения дифференциальной и интегральной функций при ЗНР

Интервал мотто-ч 1200-1484 1484-1768 1768-2052 2052-2336 2336-2620 2620-2904
  f(t) 0,14 0,26 0,28 0,18 0,064 0,014
  F(t)   0,21 0,46 0,74 0,91 0,98 1,00

 

 

На основании полученных дифференциальных и интегральных функций могут быть построены интегральные и дифференциальные кривые.

Дифференциальная кривая заменяет полигон, интегральная кривая заменяет кривую накопленных опытных вероятностей.

При построении дифференциальной кривой (рисунок 4) по оси абсцисс откладывают значение показателя надежности в определенном масштабе, а по оси ординат значение дифференциальной функции. Точки пересечения образуются значением дифференциальной функции по оси ординат и значением середины i-го интервала по оси абсцисс.

Рисунок 4 - Дифференциальная кривая

 

При построении интегральной кривой (рисунок 5) по оси абсцисс откладывают значение показателя надежности в определенном масштабе, а по оси ординат значением интегральной функции.

Рисунок 5 - Интегральная кривая

Определим число двигателей, потребующих ремонта в интервале наработки от 1700 – 2200 мото-ч.

Решение:

- по дифференциальной функции:

.

= 0,47∙29≈ 14 двиг.

- по интегральной функции

= 0,44∙29≈ 13 двиг.







Date: 2015-09-05; view: 628; Нарушение авторских прав



mydocx.ru - 2015-2026 year. (1.125 sec.) Все материалы представленные на сайте исключительно с целью ознакомления читателями и не преследуют коммерческих целей или нарушение авторских прав - Пожаловаться на публикацию