Главная Случайная страница


Полезное:

Как сделать разговор полезным и приятным Как сделать объемную звезду своими руками Как сделать то, что делать не хочется? Как сделать погремушку Как сделать так чтобы женщины сами знакомились с вами Как сделать идею коммерческой Как сделать хорошую растяжку ног? Как сделать наш разум здоровым? Как сделать, чтобы люди обманывали меньше Вопрос 4. Как сделать так, чтобы вас уважали и ценили? Как сделать лучше себе и другим людям Как сделать свидание интересным?


Категории:

АрхитектураАстрономияБиологияГеографияГеологияИнформатикаИскусствоИсторияКулинарияКультураМаркетингМатематикаМедицинаМенеджментОхрана трудаПравоПроизводствоПсихологияРелигияСоциологияСпортТехникаФизикаФилософияХимияЭкологияЭкономикаЭлектроника






Составление статистического ряда исходной информации





РАСЧЕТНАЯ РАБОТА

по дисциплине « Ремонт и надежность машин »

на тему:

«Методика обработки отказов автотракторных двигателей»

 

Вариант №120

 

Выполнил:

студент 45 группы

факультета ТС в АПК

Левин Ю.А.

Проверил: к.т.н. Чепурин А.В.

 

 

Москва 2012

Методика обработки полной информации

 

Рассмотрим методику обработки полной информации по показателям надежности на примере доремонтного ресурса двигателя типа CМД. Информацию обрабатывают в следующем порядке:

1. Составление сводной таблицы информации в порядке возрастания показателя надежности.

 

Номер двигателя Доремонтный ресурс Номер двигателя Доремонтный ресурс Номер двигателя Доремонтный ресурс Номер двигателя Доремонтный ресурс
               
               
               
               
               
               
               
               

Таблица 1. Сводная таблица по отказам показателей.

 

Составление статистического ряда исходной информации.

Для упрощения дальнейших расчетов составляют статистический ряд в том случае, когда повторность информации N>25. Если N<25 статистический ряд не составляют.

В нашем примере повторность информации N=29>25 следовательно, целесообразно составить статистический ряд. При этом информацию разбивают на n-равных интервалов. Каждый из последующий должен прилегать к предыдущему без разрывов. Обычно число интервалов принимают 6…10. При увеличении их числа повышается точность расчетов, но одновременно возрастает их трудоемкость. Число интервалов статистического ряда определяется по формуле:

 

 

+ 1

где + 1 означает округление до ближайшего большего числа.

 

В данном примере:

n = = 6

Принимаем n = 6.

 

Длина интервала:

где tmax, tmin-наибольшее и наименьшее значение показателя надежности из сводной таблице информации.

В данном примере:

мото-ч

Обычно за начало первого интервала принимают наименьшее значение надежности t1 = tmin=1200 мото-ч. Статистический ряд представлен в следующем виде:

Таблица 2 – Статистический ряд

 

 

Интервал, мото-ч 1200…1484 1484…1768 1768…2052 2052…2336 2336…2620 2620…2904
опытная частота, mi            
Опытная вероятность, Pi 0,28 0,21 0,31 0,07 0,10 0,03
Накопленная опытная вероятность, 0,28 0,48 0,79 0,86 0,97 1,00

 

В первой строке указывают границы интервалов в единицах показателя надежности.

Во второй строке указывают число случаев (опытную частоту mi), попадающих в каждый интервал. Если точка информации попадает на границу интервалов, то в предыдущий и последующий интервалы вносят по 0,5 точки.

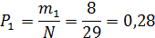
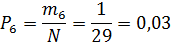
В третьей строке указывают опытную вероятность Рi.

где – mi опытная частота в i-ом интервале статистического ряда.

В четвертой строке указывают накопленную опытную вероятность .

Накопленную опытную вероятность определяют суммированием опытных вероятностей интервалов статистического ряда.

Опытная вероятность в первом интервале:

Значения заносятся в таблицу 2.

 







Date: 2015-09-05; view: 806; Нарушение авторских прав



mydocx.ru - 2015-2026 year. (0.675 sec.) Все материалы представленные на сайте исключительно с целью ознакомления читателями и не преследуют коммерческих целей или нарушение авторских прав - Пожаловаться на публикацию