Главная Случайная страница


Полезное:

Как сделать разговор полезным и приятным Как сделать объемную звезду своими руками Как сделать то, что делать не хочется? Как сделать погремушку Как сделать так чтобы женщины сами знакомились с вами Как сделать идею коммерческой Как сделать хорошую растяжку ног? Как сделать наш разум здоровым? Как сделать, чтобы люди обманывали меньше Вопрос 4. Как сделать так, чтобы вас уважали и ценили? Как сделать лучше себе и другим людям Как сделать свидание интересным?


Категории:

АрхитектураАстрономияБиологияГеографияГеологияИнформатикаИскусствоИсторияКулинарияКультураМаркетингМатематикаМедицинаМенеджментОхрана трудаПравоПроизводствоПсихологияРелигияСоциологияСпортТехникаФизикаФилософияХимияЭкологияЭкономикаЭлектроника






Использование для выравнивания распределения опытной информации закона распределения Вейбулла





 

 

Дифференциальную функцию или функцию плотностей вероятностей ЗРВ описывают уравнение

 

 

,

где a,b – параметры ЗРВ.

 

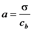
Параметр b определяют по таблице 3. Из таблицы выписывают параметр b коэффициенты kb и cb , предварительно посчитав коэффициент вариации.

При V =0,54; b = 1,9; kb =0,89; С b =0,49.

Параметр a рассчитывают по одному из уравнений

 

или ,

Отсюда получаем

мото-ч

 

Дифференциальную функцию при ЗРВ определяют по таблице 5, используя уравнение

где А – длина интервала статистического ряда;

- середина интервала статистического ряда;

С – смещение начала рассеяния.

 

 

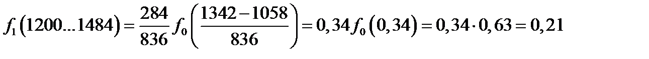
Рассчитаем значения функции во всех интервалах статистического ряда

 

 

 

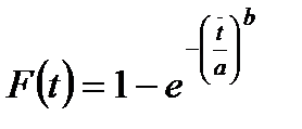
Интегральную функцию или функцию ЗРВ определяют по уравнению

 

Интегральная функция приведена в таблице 6. При этом используют уравнение

 

 

Определяем значения интегральной функции во всех интервалах статистического ряда

 

 

Рассчитанные значения функций сводим в таблицу

 

1.4 Таблица - Значения дифференциальной и интегральной функций при ЗРВ

Интервал мотто-ч 1200-1484 1484-1768 1768-2052 2052-2336 2336-2620 2620-2904
  f(t) 0,21 0,28 0,23 0,14 0,078 0,026
  F(t)     0,25   0,53 0,75 0,9 0,96 0,99

 

На основании полученных значений f(t) и F(t) могут быть построен графики дифференциальных и интегральных функций закона распределения Вейбулла.

При построении дифференциальной кривой (рисунок 6) по оси абсцисс откладывают значение показателя надежности в определенном масштабе, а по оси ординат значение дифференциальной функции. Точки пересечения образуются значением дифференциальной функции по сои ординат и значением середины i-го интервала по оси абсцисс.

Рисунок 6. Дифференциальная кривая

При построении интегральной кривой (рисунок 7) по оси абсцисс откладывают значение показателя надежности в определенном масштабе, а по оси ординат значением интегральной функции.

Рисунок 7. Интегральная кривая

 

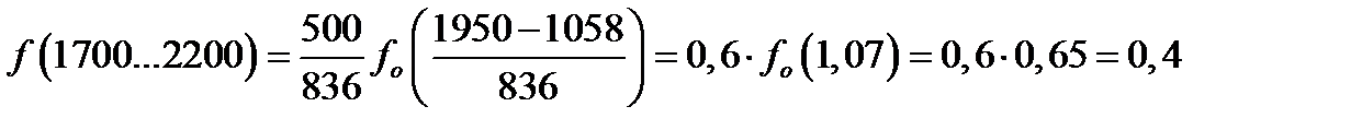
Определим число двигателей, потребующих ремонта в интервале наработки от 1700 – 2200 мото-ч.

Решение:

- по дифференциальной функции:

.

= 0,4∙29≈ 12 двиг.

- по интегральной функции

= 0,38∙29≈ 12 двиг.

 

 







Date: 2015-09-05; view: 656; Нарушение авторских прав



mydocx.ru - 2015-2026 year. (1.115 sec.) Все материалы представленные на сайте исключительно с целью ознакомления читателями и не преследуют коммерческих целей или нарушение авторских прав - Пожаловаться на публикацию