Главная Случайная страница


Полезное:

Как сделать разговор полезным и приятным Как сделать объемную звезду своими руками Как сделать то, что делать не хочется? Как сделать погремушку Как сделать так чтобы женщины сами знакомились с вами Как сделать идею коммерческой Как сделать хорошую растяжку ног? Как сделать наш разум здоровым? Как сделать, чтобы люди обманывали меньше Вопрос 4. Как сделать так, чтобы вас уважали и ценили? Как сделать лучше себе и другим людям Как сделать свидание интересным?


Категории:

АрхитектураАстрономияБиологияГеографияГеологияИнформатикаИскусствоИсторияКулинарияКультураМаркетингМатематикаМедицинаМенеджментОхрана трудаПравоПроизводствоПсихологияРелигияСоциологияСпортТехникаФизикаФилософияХимияЭкологияЭкономикаЭлектроника






Пример расчета норм выработки





Для хозяйства необходимо установить норму выработки и расхода топлива на 7-ми часовую рабочую смену на транспортировку органических удобрений трактором МТЗ-3522 с прицепом грузоподъемностью до 20 т.

Навоз грузил погрузчик АМКОДОР 352С, разгружали самосвальным способом. Расстояние транспортировки 4,6 км. Средний вес перевезенного груза за один рейс составляет 18 тонн, вторая группа дорог.

Для расчета норм исходные данные берут из материалов наблюдений и справочной литературы.

Время погрузки и разгрузки складывается из времени: подъезда под погрузку, погрузки, подъезда под разгрузку, разгрузки.

По данным наблюдения:

· время погрузки и разгрузки за один рейс - 18 мин,

· время ожидания транспорта -5 мин,

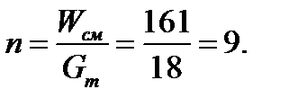
· количество рейсов за смену – 9,

· пройденное расстояние за 9 рейсов – 41,4 км.

Для определения средней скорости движения транспортного агрегата рассчитываем среднюю скорость движения с грузом:

среднее время движения агрегата с грузом по данным наблюдения – 94 мин или 1,6 часа, тогда скорость движения с грузом

Среднее время движения агрегата без груза -82 мин или 1,4 часа, тогда скорость движения без груза

Средняя скорость движения агрегата равна:

Время одного рейса составит:

Подготовительно-заключительное время 55 мин:

Время на личные надобности 25 мин:

 

Сменная норма выработки: ( )

а в тонно-километрах

Нормы выработки можно рассчитать для транспортировки грузов на различные расстояния, подставив в формулу значения тех расстояний, на которые необходимо иметь нормы выработки. Таким же методом проверяют и действующие нормы выработки, только в этом случае проводят более тщательный анализ нормативов времени, полученных при наблюдении и заложенных в расчет при разработке типовых норм выработки.

Расход топлива на одну тонну (g) определяют по формуле:

 

где, расход топлива при движении с грузом;

расход топлива при движении без груза;

расход топлива во время работы агрегата при остановках;

время движения с грузом;

время движения без груза;

время работы двигателя на остановках.

Время движения с грузом определяют по материалам наблюдения:

 

Время движения без груза за рейс:

 

 

Число рейсов за смену:

 

Время движения с грузом, время движения без груза и на время работы на остановках в течение смены определяют по формулам:

или 1,6 часа

или 1,35 часа

или 3,1 часа

 

По материалам наблюдения:

 

 


 

 

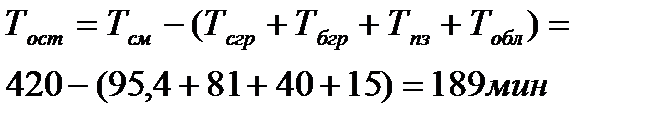
Баланс времени смены:

 







Date: 2015-09-05; view: 4135; Нарушение авторских прав



mydocx.ru - 2015-2026 year. (0.644 sec.) Все материалы представленные на сайте исключительно с целью ознакомления читателями и не преследуют коммерческих целей или нарушение авторских прав - Пожаловаться на публикацию