Главная Случайная страница


Полезное:

Как сделать разговор полезным и приятным Как сделать объемную звезду своими руками Как сделать то, что делать не хочется? Как сделать погремушку Как сделать так чтобы женщины сами знакомились с вами Как сделать идею коммерческой Как сделать хорошую растяжку ног? Как сделать наш разум здоровым? Как сделать, чтобы люди обманывали меньше Вопрос 4. Как сделать так, чтобы вас уважали и ценили? Как сделать лучше себе и другим людям Как сделать свидание интересным?


Категории:

АрхитектураАстрономияБиологияГеографияГеологияИнформатикаИскусствоИсторияКулинарияКультураМаркетингМатематикаМедицинаМенеджментОхрана трудаПравоПроизводствоПсихологияРелигияСоциологияСпортТехникаФизикаФилософияХимияЭкологияЭкономикаЭлектроника






Определение норм выработки





Выработка тракторных агрегатов за смену во всех случаях рассчитывается по формуле:

Wсм = ω * То,

Где То – основное время работы в течение смены (час);

ω – производительность агрегатов за час основного времени,

Производительность агрегата за час основного времени на полевых работах является функцией рабочей ширины захвата (Вp) и рабочей скорости (Vp):

ω = 0,1* Bp * Vp, (га/час)

где Вр – рабочая ширина захвата (м);

Vp - рабочая скорость агрегата (км/ч).

Основное время работы (То) на механизированных полевых работах представляет собой время, которое затрачивается на выполнение рабочих ходов в течение смены.

Чистое рабочее время в течение смены определяется по формуле:

Тр = Тсм - (Тпз + Твс + Тобс + Тотл),

где Тсм – продолжительность смены (час);

Тпз – подготовительно-заключительное время (час);

Твс - вспомогательное время (час);

Тобс – время обслуживания агрегата на загоне (час);

Тотл – время на отдых и личные надобности механизатора в течение смены (час).

Вспомогательное время смены (Тв) на механизированных полевых работах включает время холостых поворотов и заездов агрегата на загоне, на загрузку семян, удобрений и ядохимикатов, на выгрузку бункера, смену транспорта, подъезд под загрузку, разгрузку и заезд в борозду, в загонку.

Время холостых поворотов и заездов на загоне за смену (Тв) зависит от продолжительности смены, вида работы, состава агрегата, длины гона, способа движения агрегата на загоне и скорости движения агрегата под нагрузкой и на поворотах. Значение Тв зависит от числа проходов агрегата и, следовательно, от основного времени работы агрегата

Тв = τ * То,

где τ - коэффициент поворотов, характеризующий отношение времени поворотов к основному времени работы (τ = Тв: То).

Когда известны продолжительность одного поворота агрегата (t - сек) и скорость рабочего хода агрегата (Vp – км/час), то коэффициент поворотов для данной длины гона L можно определить расчетным путем по формуле:

τ =

нормативное значение продолжительности одного поворота устанавливают по наблюдениям.

Коэффициент устойчивости хроноряда для поворотов и других циклических операций принимают до 2,0. Коэффициент поворотов (τпов) исчисляют для каждого класса длины гона, поэтому в расчет принимают следующую среднюю длину гона: 125, 175, 250, 350, 500, 800 и 1400 м.

 

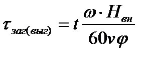
Время на загрузку и выгрузку материаловТзаг (выг) (загрузка семян, удобрений, выгрузка зерна из бункера и т.п.) в течение смены зависит от нормы высева (внесения) семян, удобрений, ядохимикатов, емкости бункера комбайна и продолжительности одной загрузки (выгрузки); от рабочей и транспортной скорости агрегата на расстоянии подъезда агрегата к месту загрузки (выгрузки):

где τ - коэффициент загрузки (выгрузки), характеризующий отношение времени загрузки (выгрузки) к основному времени работы.

τ для загрузки сеялок семенами и удобрениями, выгрузки бункеров определяют по формуле:

где t - время одной загрузки (выгрузки), мин;

ω – производительность агрегата за час основного времени (га/час);

Нвн - норма высева семян и удобрений или норма опрыскивания (ц/га или кг/га);

υ – емкость семенного ящика, резервуара опрыскивателя или бункера комбайна (ц или кг);

φ – коэффициент использования емкости семенного ящика и т. д.

На уборке силосных и других культур, когда разгрузка производится без остановки агрегата, коэффициент выгрузки определяют по формуле:

где t - время замены транспорта и комбайна (мин);

У – урожайность силосной массы или зерна (т/га или ц/га);

v - емкость кузова (тракторного прицепа) (т);

φ - коэффициент наполнения кузова.

При условии, когда по рациональной технологии и организации работ загрузка и выгрузка осуществляются с подъездом агрегата на определенное расстояние, то время на подъезд включают в продолжительность операции (одной выгрузки, загрузки и т. д.).

Время организационно-технического обслуживания агрегата на загоне (Тобс) включает время технического обслуживания агрегата (Тобс ) – технической регулировки, смазки отдельных точек, подтяжки креплений, устранение мелких неполадок и т.д.; время на мелкий ремонт агрегата (Тобс ); время организационного обслуживания (Тобс ) – очистки рабочих органов, проверки качества работы, технологических регулировок и т.д.

Указанные затраты времени зависят от условий работы (засоренности полей, влажности почвы и растений), от технического состояния агрегата и продолжительности рабочей смены. Их определяют на основе данных фотохронометражных наблюдений.


Время перерывов, обусловленных технологией и организацией процесса, регламентированных (Т ), имеет место при выполнении комплекса взаимосвязанных трудовых процессов (ожидание транспорта комбайновой уборке и др.). Этот элемент затрат времени особо важное значение имеет при разработке комплексных норм.

Время на отдых и личные надобности исполнителя (Тотл). Норматив времени на личные надобности исполнителя за смену Тлн во всех случаях принимается равным 10 мин. Время отдыха на механизированных полевых работах принимают в размере 10 – 15 мин.

Время подготовительно-заключительной работы равно:

где Ттотр – время проведения ежесменного технического обслуживания трактора;

Ттосхм - время ежесменного технического обслуживания сельхозмашин;

Тпп – время подготовки агрегата к переезду и к работе после переезда;

Тпнк – время переездов к месту работы со стана вначале рабочего дня и по возвращению на стан в конце рабочего дня в пределах поля или группы полей (участков);

Тпн - время получения наряда, сдача выполненной работы и передача агрегата сменщику (при двухсменной работе).

Если ежесменное техническое обслуживание сельскохозяйственной машины проводит прицепщик, сеяльщик или комбайнер, то это время – перекрываемое. В данном случае в норму закладывают время на техобслуживание трактора или сельхозмашины.

По материалам наблюдений приняты следующие нормативы времени:

на подготовку агрегата к переезду и к работе после переезда

(Тппр) – 3 мин;

на получение наряда и сдачу работы (Тпн) – 4 мин;

на переезды в начале и в конце смены на расстояние до 2 км

(Тпнк) – 16 мин;

Время холостых переездов на расстояние более 2 км оплачивают отдельно.

Время внутрисменных переездов (Тпер) состоит из времени, затрачиваемого в течение смены на собственно переезды с участка на участок, и времени на подготовку агрегата к переезду и к работе после переезда.

Коэффициент внутрисменных переездов с участка на участок (с поля на поле) равен:

 

где Lпер – расстояние одного переезда (км);

Fср - средняя площадь участка (га);

ω - чистая часовая производительность (га/ч);

Vтр - транспортная скорость агрегата (км/ч).

При определении коэффициента внутрисменных переездов в зависимости от класса длины гона участка можно принять его площадь и расстояние переезда согласно таблицы.

 

Таблица 1

Площадь участка и расстояние переезда в зависимости от длины гона

Класс длины гона, (м) Средняя площадь участка, Fср(га) Расстояние переезда, L(км)
До 150 До 1,5 0,6
150-200 3,0 0,7
200-300 6,0 0,81
300-400 12,0 0,93
400-600 24,0 1,05
600-1000 60,0 1,25
Более 1000 Более 140,0 1,50

Транспортную скорость определяют по материалам наблюдений.

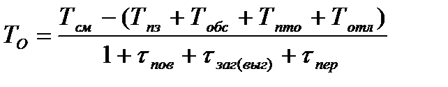
После определения значений Тпз, Тобс, Тотл, Тпто, τ , τ , τ для полевых агрегатов легко рассчитать время основной работы по формуле:

(час),

Правильность всех указанных расчетов по определению нормативов элементов времени смены проверяют через баланс времени смены по формуле:


Время перерывов, обусловленных технологией и организацией процесса, регламентированных- ),

Если это равенство не соблюдается, то необходимо проверить расчеты.

 







Date: 2015-09-05; view: 4214; Нарушение авторских прав



mydocx.ru - 2015-2026 year. (0.216 sec.) Все материалы представленные на сайте исключительно с целью ознакомления читателями и не преследуют коммерческих целей или нарушение авторских прав - Пожаловаться на публикацию