Главная Случайная страница


Полезное:

Как сделать разговор полезным и приятным Как сделать объемную звезду своими руками Как сделать то, что делать не хочется? Как сделать погремушку Как сделать так чтобы женщины сами знакомились с вами Как сделать идею коммерческой Как сделать хорошую растяжку ног? Как сделать наш разум здоровым? Как сделать, чтобы люди обманывали меньше Вопрос 4. Как сделать так, чтобы вас уважали и ценили? Как сделать лучше себе и другим людям Как сделать свидание интересным?


Категории:

АрхитектураАстрономияБиологияГеографияГеологияИнформатикаИскусствоИсторияКулинарияКультураМаркетингМатематикаМедицинаМенеджментОхрана трудаПравоПроизводствоПсихологияРелигияСоциологияСпортТехникаФизикаФилософияХимияЭкологияЭкономикаЭлектроника






Конструкция скважинного заряда. Инициирование прямое и обратное. Промежуточный детонатор. Забойка , ее назначение. Параметры размещения зарядов на уступе





Под конструкцией заряда понимают:

1. Форму и расположение заряда ВВ в зарядной камере;

2. Место расположения инициатора в заряде;

3. Величину и качество забойки.

В зависимости от формы зарядной камеры заряд ВВ может быть:

1. Удлиненный (колонковый), когда длина его больше не менее чем в 3 раза поперечного сечения;

2. Сосредоточенный, определяемый формами зарядной камеры — сферический, кубический и т. д;

3. Рассредоточенный.

Рассредоточение заряда может быть осуществлено либо остав­лением пустот между частями зарядов ВВ или зарядом и забойкой, так называемых воздушных промежутков, либо промежутки между частями заряда заполняют различными инертными материалами.

Инициирование всего заряда или каждой его части можно осу­ществлять одним или несколькими детонаторами или детонирующим шнуром.

Место инициирования колонкового заряда оказывает существен­ное влияние на эффективность взрыва. При расположении боевика в заряде ВВ первым от устья шпура способ инициирования называют прямым, а при расположении патрона боевика у забоя шпура или скважины — обратным.

Для детонации малочувствительных ВВ необходим мощный на­чальный импульс, осуществляемый с помощью более чувствительных и мощных ВВ, в связи с чем весьма важным является определение места расположения патрона-боевика в колонковом заряде для ини­циирования всего заряда.

Коэффициенты заполнения шпура по сечению и плотность ВВ связаны с конструкцией заряда и определяют его объемную концен­трацию энергии.

На основании теоретических и экспериментальных работ, про­веденных под руководством акад. Н. В. Мельникова, разработаны теоретические основы по выбору наиболее целесообразной конструк­ции колонкового заряда и выполнены инженерные расчеты по опре­делению параметров воздушных промежутков при взрывании зарядов в различных горно-геологических условиях.

Сущность этого метода ведения взрывных работ заключается в том, что для эффективного использования энергии взрыва колон­ковых зарядов с точки зрения дробления среды необходимо рассре­доточение последних по длине шпура или скважины с оставлением между ними воздушных промежутков. Физический смысл происхо­дящих при этом явлений состоит в том, что при рассредоточении осуществляется снижение пикового давления ударной волны и равно­мерное перераспределение энергии ВВ по всей длине скважины или шпура в результате чего увеличивается полезное использование энергии взрыва. Это обеспечивает получение равномерного дробле­ния горной массы заданной кусковатости из условий максимального использования погрузочно-транспортных средств, снижения рас­хода ВВ и стоимости работ.

При наличии в заряде воздушных промежутков время воздей­ствия продуктов взрыва на взрываемую среду удлиняется, тем са­мым создаются условия эффективного ее разрушения.

Напряжения, возникающие в среде при взрыве зарядов с возду­шными промежутками в первый период времени ниже, чем при обычных. В то же время в разрушаемом массиве разрыв поверхно­стного слоя происходит быстрее, чем при обычных зарядах. Таким образом, при наличии воздушных промежутков снижаются скорости распространения процесса возмущения среды в начальный период, удлиняется время взрывного воздействия на среду и снижается пиковое давление с сохранением энергии и последующим перерас­пределением ее для дополнительного разрушения среды. При этом общий объем разрушения увеличивается с улучшением качества дробления. При такой конструкции заряда на открытых работах достигается существенное снижение расхода ВВ и снижается вы­ход негабарита.

Производство взрывных работ с воздушными промежут­ками можно применять для всех горных пород и при всех типах ВВ. Воздушные промежутки можно образовать с по­мощью деревянных катушек, картонных цилиндров, бумажных пыжей и т. п. Размеры воздушных промежутков и их количе­ство в скважине зависят от горно-геологических условий и длины заряда ВВ.

Акад. Н. В. Мельников и докт. техн. наук Л. Н. Марченко реко­мендуют при высоте уступа до 20 м и относительной однородности пород рассредотачивать заряд на две-три части. В скважинах более глубоких количество рассредоточений может быть и больше. Расчет параметров таких зарядов производится по схеме, показанной на рис. 204.

Общую массу скважинного заряда определяют из выражения

где q - удельный расход ВВ, кг/м3; а - расстояние между скважинами, м; W1 - линия наименьшего сопротивления по подошве; Ну — высота уступа, м. Масса нижней части заряда

Масса верхней части заряда

Высота воздушного проме­жутка

,

где - длина заряда, м, - в слабых породах уменьшается до 0,17, а с увели­чением крепости пород длина воздушного пространства рас­тет до 0,35; Р — вместимость 1 м скважины, кг.

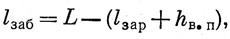
Длина забойки может быть определена из выражения

где L — глубина скважины, м.







Date: 2015-09-05; view: 3407; Нарушение авторских прав



mydocx.ru - 2015-2026 year. (0.601 sec.) Все материалы представленные на сайте исключительно с целью ознакомления читателями и не преследуют коммерческих целей или нарушение авторских прав - Пожаловаться на публикацию