Главная Случайная страница


Полезное:

Как сделать разговор полезным и приятным Как сделать объемную звезду своими руками Как сделать то, что делать не хочется? Как сделать погремушку Как сделать так чтобы женщины сами знакомились с вами Как сделать идею коммерческой Как сделать хорошую растяжку ног? Как сделать наш разум здоровым? Как сделать, чтобы люди обманывали меньше Вопрос 4. Как сделать так, чтобы вас уважали и ценили? Как сделать лучше себе и другим людям Как сделать свидание интересным?


Категории:

АрхитектураАстрономияБиологияГеографияГеологияИнформатикаИскусствоИсторияКулинарияКультураМаркетингМатематикаМедицинаМенеджментОхрана трудаПравоПроизводствоПсихологияРелигияСоциологияСпортТехникаФизикаФилософияХимияЭкологияЭкономикаЭлектроника






Расчет данных для выноса осей сооружения на местность





Во всех способах плановой установки конструкций и оборудо­вания используют схему, по которой положение устанавливаемо­го элемента определяется от заданной в натуре разбивочной или технологической оси, а положение устанавливаемого элемента — линейными промерами.

Положение оси может быть задано струнным или оптическим прибором. В соответствии с этим различают струнный, струнно-оптический и оптический способы плановой установки.


В струнном способе между закрепленными точками осей А и В (Рисунок 90) с помощью грузов натягивают калиброванную струну диаметром 0,1...0,5 мм, которую принимают за техноло­гическую ось. В местах установки

Рисунок 90 Схема струнного способа установки конструкций

 

 

оборудования (точки а, б, в, г) Подвешивают легкие нитяные отвесы. Когда струна фиксирует Параллель оси, то расстояние от нее до устанавливаемых элемен­тов откладывают с помощью концевых приборов с микромет­рами.

Струна имеет провес в вер­тикальной плоскости, макси­мальный посередине. Его можно подсчитать по формуле:

fв=ql2/8F, (127)

 

где q — масса одного метра стру­ны, кг; l — длина створа, м; F — натяжение струны, кг.

Максимальное натяжение струны, составляющее 2/3 от раз­рывного усилия, может быть вычислено по следующей прибли­женной формуле:

(128)

где d — диаметр струны, мм.

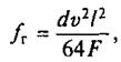
На струну действует боковое давление воздуха, вызывающее отклонение струны от прямой в горизонтальной плоскости. На­ибольшее отклонение в середине створа подсчитывают по формуле:

(129)

где v — скорость ветра, м/с.

Помимо бокового давления воздуха и неточности установки стру­ны над опорными знаками при поднятии ее или подвеске из-за провеса, основными источниками погрешностей в струнном спо­собе являются колебания струны в процессе измерений и проекти­рование струны отвесом на соответствующие точки оборудования.

Принято считать, что при тщательной работе в закрытых по­мещениях общая погрешность струнного способа в среднем со­ставляет 2...3 мм на 100 м длины створа.

Струна, определяющая положение монтажной оси, обладает ря­дом преимуществ. На нее не влияют такие источники погрешностей оптических систем как рефракция, колебания изображений, пере­мена фокусировки. Кроме того, она удобна для одновременного мон­тажа на разных участках линии. Однако, чтобы использовать эти пре­имущества в точных монтажных работах, необходимо заменить ни­тяной отвес, как основной источник погрешностей, на оптическую проектирующую систему. Это сделано в струнно-оптическом способе, в котором монтажная ось задается натянутой струной, а проектирование ее на точки монтируемых конструкций и оборудо­вания осуществляется при помощи таких оптических приборов, как теодолиты, приборы вертикального проектирования, специальные микроскопы на передвижном устройстве и т.д.

 
 

Рассмотрим применение струнно-оптического способа для ус­тановки оборудования (Рисунок 91). Чтобы струна не мешала произ­водству монтажных работ, ее натягивают выше устанавливаемого оборудования в удобном месте. При помощи теодолита или при­бора вертикального проектирования струну поперечным движе­нием совмещают с центрами знаков А и В, закрепляющих мон­тажную ось. Установленную таким образом струну принимают за монтажную ось. Далее, если установку выполняют с помощью те­одолита, то оборудование перемещают и разворачивают так, что­бы точки а, б, в, г технологической оси оборудования попали в створ ориентированного по точке а', б', в', г' визирного луча те­одолита. Если же используют приборы вертикального проектирова­ния, то их устанавливают и центрируют на точках а, б, в, г обору­дования, которое затем перемещают до совпадения вертикальных лучей приборов с соответствующими точками а', б', в', г' струны. Одновременно производят установку оборудования по высоте.

Для струнно-оптического способа характерны некоторые ис­точники погрешностей, характерные и для струнного способа: неточность разбивки и закрепления монтажной оси, отклонение струны в горизонтальной плоскости вследствие ветрового давле­ния, колебания струны. Кроме того, появляются следующие по­грешности: установки струны в створ монтажной оси, проекти­рования струны оптическим прибором, из-за освещения струны.

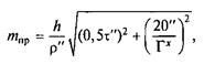
Средняя квадратическая погрешность проектирования струны теодолитом в линейной мере может быть подсчитана по формуле

(130)

где h — высота струны над прибором; τ — цена деления уровня на алидаде горизонтального круга; Гх — увеличение зрительной тру­бы теодолита. Эту же погрешность для прибора вертикального проектирования с компенсатором вычисляют по формуле:


(131)

где 0,5" — погрешность установки визирного луча в вертикальной плоскости.

При боковом освещении струны возникает систематическая погрешность за фазу, предельная величина которой составляет ΔФ= 0,25 d, где d — диаметр струны. При d = 0,3 мм ΔФ ≈ 0,08 мм, что при точных работах необходимо учитывать. Для уменьшения погрешности за фазу струну дополнительно освещают сверху.

Для уменьшения погрешности за колебание струны в процессе измерений определяют амплитуду колебаний и по ней — среднее положение струны.

Наиболее опасным и внешне не обнаруживаемым источником погрешностей является отклонение струны под действием посто­янного ветрового давления. Однако и эту погрешность можно учесть, используя формулу (112). В одних и тех же условиях струне придают различные натяжения F1 и F2 и измеряют максимальное изменение Δf1,2 горизонтального положения струны в средней точке створа. Из решения двух уравнений вида (112) при F1 и F2 нахо­дят f1 и f2 для средней точки створа по формулам:

(132)

Способ оптического визирования является наибо­лее простым и распространенным. В этом способе монтаж конст­рукций и оборудования производится при помощи зрительной трубы и визирных марок. Монтажной осью служит линия визирования, задаваемая оптическим прибором — алиниометром. В качестве алиниометра применяют теодолиты, нивелиры и специальные опти­ческие приборы, снабженные зрительной трубой большого увели­чения и отсчетным устройством в виде окулярного микрометра или микроскопа.

Существуют две принципиальные схемы применения способа оптического визирования: 1) алиниометр не имеет отсчетного устройства, тогда таким устройством снабжают подвижную мар­ку, устанавливаемую на оборудовании; 2) прибор снабжен от­счетным устройством, тогда марка на оборудовании может быть неподвижной, но обязательно привязанной к оси оборудования.

Оптический створ может быть задан прямым визированием или визированием по частям. В способе прямого визирования на на­чальном пункте закрепленной монтажной оси устанавливают алиниометр, на конечном пункте — опорную визирную марку. При­бор наводят на марку и в створ линии последовательно вводят марки, установленные на соответствующих точках оборудования. В зависимости от применяемой схемы в одном случае марки в створ вводят, перемещая вместе с ними оборудование, в другом — измеряют отклонение технологической оси оборудования от ство­ра, а затем уже на величину этого отклонения перемещают обо­рудование. Так как погрешность визирования в линейной мере возрастает с увеличением расстояния от алиниометра до устанав­ливаемой точки, то, установив оборудование на первой половине створа, прибор и визирную марку на опорных пунктах меняют местами и продолжают монтаж на второй половине створа.

При визировании по частям для уменьшения погрешности ви­зирования створ между опорными пунктами делят на несколько примерно равных частей. Алиниометр последовательно переносят на точки закрепления каждой части и, ориентируя его каждый раз по опорной марке на конечной точке, ведут монтаж только в пределах одной части. Для контроля монтажных работ таким же способом проверяют положение установленного оборудования обратным ходом, перенеся опорную марку на начальный пункт створа. Такая схема известна в створных наблюдениях как схема последовательных створов.


Основные погрешности способа оптического визирования те же, что и в рассмотренном ранее способе створной засечки: ори­ентирования створа при визировании на опорную марку, введе­ния промежуточной марки в створ, за перефокусирование зри­тельной трубы, центрирования алиниометра и визирных марок на знаках и оборудовании, за рефракцию.

Для приближенных расчетов совместное влияние первых трех источников погрешностей можно в линейной мере подсчитать по формуле:

(133)

где l — расстояние от алиниометра до устанавливаемой точки.

Для уменьшения влияния этой погрешности применяют специ­альные зрительные трубы с большим увеличением и минимальной Погрешностью при изменении фокусировки. При работах высокой точ­ности погрешности центрирования сводят к пренебрежимо малой величи­нине путем точного принудительного (механического) центриро­вания алиниометра и визирных марок на знаках и оборудовании.

Для уменьшения погрешности за рефракцию выбирают или создают благоприятные условия производства работ. Кроме того, Путем организации специальных исследований определяют воз­можность применения способа оптического визирования в данных условиях с требуемой точностью.

Проектную линию наносят на профиль от начальной исходной точки, но с таким расчетом, чтобы уклоны по трассе не превышали предельных значений, указанных в таблице 8

Таблица 8 Предельные значения уклонов и радиусов кривых

Категория дороги Характеристика дороги Предельный уклон, ‰ Наименьший радиус кривой, м
  Автодороги    
I–II общегосударственные 30–40 1000–600
II–III областные    
IV районные    
V местные    
  Железные дороги    
  общегосударственные    
  районные    
  местные    

 

Проектная линия может быть ломаной и иметь разные уклоны, однако ее проводят так, чтобы объемы будущих выемок примерно равнялись объему насыпей. После нанесения проектной линии на профиль части ее излома переносят в графу 1 и определяют этим участки с разными уклонами. Горизонтальную длину D каждого участка определяют по сетке профиля, а превышение h одного конца отрезка над другим находят графически с учетом вертикального масштаба. Уклон на каждом участке находят из соотношения

. (134)

В графе 1 наклонной или горизонтальной линией показывают направление склона. Под линией подписывают горизонтальную протяженность участка D, а над ней – уклон, выраженный в промиллях (тысячных долях). Проектную отметку начала трассы берут согласно заданию, а отметку последующих точек вычисляют последовательно от точки к точке с учетом проектных уклонов:


. (135)

Например,

Проектная отметка конечной точки этой линии становится начальной для расчета отметок следующих участков трассы.

Рабочие отметки каждой точки трассы равны разности ее проектной и фактической отметок. Их подписывают под проектной линией, если это выемка, и над проектной линией, если это насыпь.

Вся работа оформляется тушью: фактические данные показывают черным цветом, а проектные – красным.

 







Date: 2015-09-19; view: 1063; Нарушение авторских прав



mydocx.ru - 2015-2026 year. (0.491 sec.) Все материалы представленные на сайте исключительно с целью ознакомления читателями и не преследуют коммерческих целей или нарушение авторских прав - Пожаловаться на публикацию