Главная Случайная страница


Полезное:

Как сделать разговор полезным и приятным Как сделать объемную звезду своими руками Как сделать то, что делать не хочется? Как сделать погремушку Как сделать так чтобы женщины сами знакомились с вами Как сделать идею коммерческой Как сделать хорошую растяжку ног? Как сделать наш разум здоровым? Как сделать, чтобы люди обманывали меньше Вопрос 4. Как сделать так, чтобы вас уважали и ценили? Как сделать лучше себе и другим людям Как сделать свидание интересным?


Категории:

АрхитектураАстрономияБиологияГеографияГеологияИнформатикаИскусствоИсторияКулинарияКультураМаркетингМатематикаМедицинаМенеджментОхрана трудаПравоПроизводствоПсихологияРелигияСоциологияСпортТехникаФизикаФилософияХимияЭкологияЭкономикаЭлектроника






ТИПИ УРОКІВ ВИВЧЕННЯ ГРАМАТИЧНОГО МАТЕРІАЛУ





Вимоги до сучасного До уроку граматики, ЯК і ДО ІН- уроку граматики ших урів МОви, висуваються певні вимоги загальнодидактич-ного і конкретно-методичного характеру:

I. Єдність навчальної, розвивальної і виховної мети.
Сучасний урок з граматики — це урок, на якому школя-

. рі не тільки одержують нові знання про будову слова, частини мови, а й навчаються правил правопису. Усві­домлення нового матеріалу обов'язково поєднується з розвитком мовленнєвої практики учнів.

Крім того, на уроках граматики особлива увага при­діляється вихованню любові до рідної мови, дбайливого ставлення до слова, розвиткові естетичних смаків. З цією метою класовод добирає на урок високохудожні автор­ські тексти, які дають змогу формувати у школярів ос­нови матеріалістичного світосприймання.

II. Цілеспрямованість, чіткість і внутрішня логіка
уроку. Увесь навчальний матеріал, який добирає вчитель
для уроку (вправи для спостереження за мовним яви­
щем, мовленнєві вправи тощо), повинен бути пов'язаний
з тим, що діти вже вивчили, і готувати до вивчення на­
ступних тем. Він має точно відповідати меті уроку. Ло­
гіка уроку повинна відбивати систему вправ, яка будує­
ться з урахуванням зростання ступеня самостійності уч­
нів в осмисленні нових знань. Зв'язок між вправами, які
виконуються на уроці, обумовлений і характером умінь
й навичок, що формуються у школярів.

III. Єдність розвитку мислення і мовлення учнів. Роз­
виваючи мовлення дітей, учитель розвиває і їхнє мис­
лення. У процесі вивчення певної граматичної теми учні
оволодівають і прийомами мислення (порівняння слів,
осмислення граматичного матеріалу, узагальнення).


Знайомлячись із тим чи іншим матеріалом, діти водно­час засвоюють і способи здобування нових знань, тобто нові знання засвоюються активно, при безпосередній участі школярів у їх «відкритті».

Граматичний матеріал, який вивчається на уроці, є не самоціллю, а має практичне застосування для фор­мування точного і правильного мовлення.

Готуючись до уроку, учитель повинен дотримуватись правил його організації:

1. Визначити дидактичну, розвивальну і виховну ме­
ту уроку.

2. Підготувати зміст навчального матеріалу.

3. Визначити послідовність виконання завдань уроку.

4. Вибрати найбільш ефективні методи і прийоми
навчання в залежності від мети уроку, змісту навчаль­
ного матеріалу і дидактичної мети.

5. Передбачити єдину логіку розгортання діяльності
учителя і учнів.

6. Врахувати тип і структуру уроку.

У радянській дидактиці прийня-
,• Тшіи, „ то визначати типи уроків грама-

уроків граматики тики в залежності від дидактич­ної мети.

Залежно від етапу і дидактичної мети роботи над тією чи іншою темою розрізняються:

уроки, на яких вивчається нова тема;

уроки, на яких нової теми немає (тренувальні уроки);

узагальнюючі уроки;

уроки повторення граматико-орфографічного мате­ріалу.

Слід мати на увазі, що «чисті» типи уроків грамати­ки у шкільній практиці зустрічаються рідко. Майже на кожному уроці граматики відбувається повторення ра­ніше вивченого, вивчення нового матеріалу, його уза­гальнення і закріплення. Тому такі уроки прийнято на­зивати комбінованими. Вони є найпоширенішими у по­чаткових класах.

Основні етапи комбінованого уроку1 граматики такі:

1. Актуалізація опорних знань учнів. Новий матері­ал, який вивчається на уроці, обов'язково зв'язаний з тим, що вже раніше вивчали. Знання учнів слід актуа-


лізувати (повторити, поновити). Цій меті і підпорядко­ваний названий етап уроку. Відновлення в пам'яті учнів опорних знань і способів оперування ними може розпо­чинатися під час перевірки домашнього завдання. Так, перед ознайомленням другокласників із визначенням іменника учитель, перевіряючи домашнє завдання, звер­тає увагу школярів на слова, які відповідають на запи­тання хто? що?, і просить назвати їх у тексті домаш­ньої вправи.

2. Мотивування навчальної діяльності школярів. Ме­
тою цього етапу є зацікавлення учнів вивченням нового
матеріалу. Діти повинні пересвідчитися в необхідності
засвоєння тієї чи іншої теми. Щоб здійснити це, учитель
може використати ігрові моменти, вигадані пригоди,
шкільні бувальщини, мовні жарти тощо. Наприклад,
учитель демонструє через кодоскоп лист, нібито напи­
саний хлопчиком Джоном, або зачитує його: «Дорогі
друзі! Я часто згадую Ваше прекрасне місто Київ. Най­
краще пам'ятаю вулиця Хрещатик. Такої вулиця я ніде
не бачив. Згадую, як цією вулиця ми йшли у святкових
колонах. Вітаю всіх. Джон». Знайшовши помилки, до­
пущені в листі Джона, учні переконуються в необхідно­
сті вивчення відмінювання іменників.


3. Повідомлення теми, мети й завдання уроку. Мето­
дика рекомендує формулювати тему так, щоб вона була
зрозуміла дітям. Звичайно, класовод, плануючи урок,
передбачає його навчально-виховну мету залежно від
змісту програмового матеріалу. Навчальна мета уроку
зумовлюється темою уроку. Наприклад, якщо вивчає­
ться тема «Змінювання іменників за відмінками і чис­
лами», то навчальна мета «Засвоєння змінювання імен­
ників за відмінками і числами, формування навичок
часткового морфологічного розбору іменників». Вихов­
ною метою уроку можуть бути не тільки питання ідейно-
політичної спрямованості, а й виховання наполегливості,
культури запису, уміння самостійно працювати з підруч­
ником. У зв'язку з реалізацією принципу розвиваючого
навчання учителі, визначаючи мету уроку, враховують
і завдання розвитку учнів.

Слід розрізняти мету, яку вчитель ставить перед со­бою і яку мають усвідомити діти. Мета, яка повідомляє­ться дітям, може збігатися з назвою теми чи окремого параграфа підручника. Скажімо, учитель визначає для себе таку мету уроку: «Дати учням поняття про прислів*


 




       
 
   
 

7*

ник, ознайомити з найголовнішими граматичними озна­ками цієї частини мови. Розвивати навички зв'язного мовлення. Виховувати почуття гордості за радянський народ». Перед учнями ж висувається мета: «Сьогодні ви познайомитесь із новою частиною мови та її основ­ними ознаками».

4. Сприймання й первісне усвідомлення матеріалу.
На цьому етапі вчитель організовує спостереження за
спеціально дібраним мовним матеріалом, який демон­
струється на таблицях. Це може бути вправа, подана в
підручнику або записана на дошці. Внаслідок спеціаль­
но організованого спостереження учні мають встановити
істотні ознаки виучуваного мовного явища і зробити по­
чаткові висновки про нього. Цей етап є головним у про­
цесі усвідомлення нового матеріалу. Проте часом його
важко відділити від етапу мотивування навчальної ді­
яльності- школярів і від етапу осмислення нових знань.
Усі названі етапи взаємообумовлені. Пересвідчитися в
ньому можна на такому фрагменті уроку на тему «Не­
означена форма дієслова». Учитель пропонує для спо­
стереження таблицю зміни дієслів за часами, а потім
розповідає уривок з казки Ф. Кривіна: «Дивиться Не­
означена форма, як змінюються дієслова, і говорить: —
Ех ви, хіба так треба змінюватися! — А як? — питають
Дієслова,— покажи ти.— Я б показала,— зітхає Неозна­
чена форма,— тільки в мене часу немає». Чому Неозна­
чена форма так про себе сказала?—запитує вчитель.
Це питання і є поштовхом до пошукової діяльності уч­
нів, у ході якої діти встановлюють, що дієслова в не­
означеній формі не змінюються за часами.

5. Осмислення нових знань. На цьому етапі голов­
ним є перевірка учнями власних припущень чи виснов­
ків шляхом опрацювання вміщених у підручнику правил
та їх практичного застосування під час виконання різ­
них тренувальних вправ. Наприклад, пошуки відповіді
на питання вчителя, яким закінчувався попередній етап,
приведуть дітей до припущення, що неозначена форма
не змінюється за часами. Щоб учні могли переконатися
в правильності свого висновку, класовод відсилає їх до
правила, вміщеного в підручнику, і просить з'ясувати,
чого ще «не сказала» про себе Неозначена форма.


6. Узагальнення й систематизація знань (закріплен­
ня виучуваного матеріалу). На цьому етапі учні вико­
нують різні тренувальні вправи, вміщені в підручнику


або підготовлені вчителем (граматичний розбір, спису­вання з граматичним завданням, введення в складені ними речення потрібних граматичних форм, заміна од­них форм на інші тощо).

7. Підсумок уроку. Часом учителі зводять цей етап уроку до пригадування того, що «робили на уроці» (пи­сали, складали речення, читали правило тощо). Таке відбувається внаслідок недооцінювання важливості і ме­ти даного етапу уроку. Підсумовуючий етап уроку тісно пов'язаний з етапом систематизації знань і випливає з нього.

На завершення уроку слід коротко з'ясувати, про що нове дізналися діти на уроці і що вони для цього робили.

Урок граматики традиційно закінчується завданням додому, яке оголошується вчителем, записується ним на дошці, а учнями — у щоденники. Учні одержують чіткі інструкції щодо виконання завдання вдома. Етап уроку, на якому задається домашнє завдання, може передува­ти попередньому етапові, інколи може поєднуватися з етапом виконання тренувальних вправ.

Наведена структура типова для уроків, на яких пе­реважає вивчення нового граматичного матеріалу. Для уроку, на якому новий матеріал не вивчається, харак­терна дещо інша структура. Такий урок прийнято почи­нати з перевірки одержаних дітьми на попередніх уро­ках знань. Це може здійснюватися під час фронтального чи індивідуального опитування учнів, перевірки вправ, виконаних удома.

Головним етапом уроку є вироблення умінь і навичок (тренувальні вправи). На перший погляд може здатися, що організація цього етапу не викликає труднощів. На­справді учитель має продумати головну мету вправ, їх послідовність. При цьому слід уникати одноманітних вправ. Перед виконанням кожної вправи треба обов'яз­ково повідомити мету наступної вправи, повторити ті знання, які потрібні будуть дітям при виконанні її (від­повіді учнів на запитання вчителя, добір прикладів, ви­конання усної вправи тощо), часто виникає потреба у демонстрації зразка виконання завдань. Виконана впра­ва обов'язково перевіряється. Наслідки виконання ко­ментуються вчителем.

Домашнє завдання задається до оголошення підсум­ку уроку і є логічним завершенням етапу виконання вправ.


         
 
 
   
     
 


Розділ V. МЕТОДИКА ВИВЧЕННЯ ФОНЕТИКИ 1 ГРАФІКИ

Особливим типом уроку є узагальнюючий урок гра­матики. На ньому систематизуються знання учнів, одер­жані в процесі вивчення певної теми чи розділу програ­ми. Структура цих уроків відзначається різноманітністю, однак повинна охоплювати як обов'язкові такі компо­ненти уроку: 1. Вправи на застосування знань про іс­тотні ознаки граматичного поняття. 2. Узагальнення і перевірка знань. 3. Самостійна робота учнів (здебіль­шого творчого характеру).


Розглянемо приклад узагальнюючого уроку.

Тема: Узагальнення знань учнів про частини мови.

Мета: Удосконалення знань учнів про особливості іменників, прикметників, дієслів та інших частин мови. Розвиток умінь розпіз­навати їх і правильно вживати.

Хід уроку:

1. Словниково-вибірковий диктант (учні записують кожну ча­
стину мови в окремий стовпчик): план, виконувати, п'ятирічний, бра­
ти, участь, змагання, соціалістичний, еони, люди, радянський.

2. Складання речень із записаних слів, введення в ці речення
інших частин мови. (Радянські люди успішно виконують п'ятирічний
план. Вони беруть участь у соціалістичному змаганні).
Назвати ча­
стини мови, вжиті в реченнях.

3. Спостереження над основними ознаками частин мови.

— Зібралися якось Слова — різні Частини Мови і почали між собою розмовляти.— Я маю рід, а змінююсь лише за числами і від­мінками.— Добре тобі. А я мушу завжди ходити з тобою в парі,— зітхнула інша Частина Мови.— Навіть рід твій приймаю, і число, і відмінок.— Що таке рід і число, я теж знаю, бо змінююсь за ними. А от що таке відмінок, мені невідомо. Я більше дружу з особами.

Які частини мови розмовляли між собою? Доведіть це. Продов­жіть розмову Частин Мови. Що б могли про себе сказати інші відо­мі вам Частини Мови?

4. Творча робота. Твір за матеріалом екскурсії (прогулянки).
Можливий план: Куди ходили на екскурсію? Що там бачили? Що
найбільше запам'яталось?

Які частини мови використані у творі? Визначити рід і число іменників, прикметників і дієслів (де це можливо).

5. Домашнє завдання. Вправа з підручника.

Аналогічні за своєю структурою і уроки повторення граматико-орфографічного матеріалу.

Запитання і завдання

1. Назвіть структурні компоненти уроку граматики, схарактери­
зуйте зміст роботи на кожному з них.

2. Як організувати роботу з підручником на різних етапах ви­
вчення граматичного поняття? Простежте організацію роботи з під­
ручником під час відвідування уроків учителів.

3. Під час відвідування уроків граматики в школі простежте, яка
наочність використовувалася і з якою метою.

4. Які прийоми можна використати для збудження в учнів інте­
ресу до вивчення граматики? Наведіть приклади використання ціка­
вих вправ та ігрових моментів.


 

Ознайомлення з особливостями голосних і приголосних звуків

Уже в період навчання грамоти (1 клас) діти шляхом частково­го звукового аналізу вчаться ви­діляти окремі звуки із звукового комплексу — слова, проводять спостереження за зміною значення слова в залежності від зміни того чи іншого звука (лисліс, нічпіч), послідовно називають звуки в слові, визначають голосні і приголосні, приголосні тверді і м'які, на основі поскла­дового вимовляння вчаться ділити слово на склади, а також робити звукові моделі слів.

Ці уміння є основою для успішного засвоєння розді­лу «Звуки і букви» у 2—4 класах. В учнів поглиблю­ються знання про звукову систему української мови. Так, у дітей формуються сталі уявлення про те, що звуки мови поділяються на дві великі групи»—голосні і при­голосні. З метою чіткості і свідомості засвоєння знань під час класифікації звуків на голосні і приголосні уч­нів слід орієнтувати на такі ознаки:

спосіб вимови (при вимові голосних повітря вільно виходить через ротову порожнину, при вимові приголос­них— натрапляє на ряд перешкод (язик, зуби, губи);

характер звучання (при вимові голосних чуємо тіль­ки голос, при вимові приголосних — голос і шум або тіль­ки шум);

властивість утворювати склад (голосні утворюють склад самі по собі, приголосні — лише в сполученні з го­лосними).

Всі ці знання учні мають одержувати способом спо­стереження за артикуляційним апаратом (органами мовлення) під час шімоііи окремих звуків, вправлянь у вимовлянні звуків і аналізу особливостей їх вимови.

Під час вивчення цього розділу доцільними будуть вправи фонетичного й артикуляційного характеру, спря-




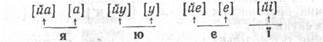
веного аналізу учні повинні вирішити поставлену перед ними проблему. Над буквами я, ю, є, ї в ряду звуків має з'явитися такий запис:

мованІ на формування умінь класифікувати звуки, на­приклад: 1) назвіть звуки, під час вимови яких повітря вільно проходить через ротову порожнину; 2) назвіть звуки, під час вимови яких створюється перешкода гу­бами ([б], [п\, [в\, [м], [ф]), зубами і кінчиком язика (№, [т\, [з])іт.д.

Само собою зрозуміло, що передувати таким впра­вам мають спостереження за артикуляційним апаратом в процесі вимови голосних і приголосних.

Під час вивчення цієї теми учні

Вивчення теми мають одержати знання про те,

«Голосні звуки щ в уКращСЬКій мові ШІСТЬ ГО-







Date: 2015-09-18; view: 3364; Нарушение авторских прав



mydocx.ru - 2015-2026 year. (1.055 sec.) Все материалы представленные на сайте исключительно с целью ознакомления читателями и не преследуют коммерческих целей или нарушение авторских прав - Пожаловаться на публикацию