Главная Случайная страница


Полезное:

Как сделать разговор полезным и приятным Как сделать объемную звезду своими руками Как сделать то, что делать не хочется? Как сделать погремушку Как сделать так чтобы женщины сами знакомились с вами Как сделать идею коммерческой Как сделать хорошую растяжку ног? Как сделать наш разум здоровым? Как сделать, чтобы люди обманывали меньше Вопрос 4. Как сделать так, чтобы вас уважали и ценили? Как сделать лучше себе и другим людям Как сделать свидание интересным?


Категории:

АрхитектураАстрономияБиологияГеографияГеологияИнформатикаИскусствоИсторияКулинарияКультураМаркетингМатематикаМедицинаМенеджментОхрана трудаПравоПроизводствоПсихологияРелигияСоциологияСпортТехникаФизикаФилософияХимияЭкологияЭкономикаЭлектроника






Определение изониазида





1. Протонирование изониазида

 

 

2. Ацетилирование изониазида по остатку гидразина

 

 

3. Перенос протона

 

HClO4 + CH3COOH → ClO4- + CH3COOH2+

 

4. Солеобразование

 

5. Регенерация растворителя

 

CH3COO- + CH3COOH2+ → 2 CH3COOH

Э = М.м.

 

Определение солей. В неводных средах могут быть оттитрованы соли органических азотсодержащих оснований, образованные минеральными или органическими кислотами, а также соли неорганической, природы образованные сильными основаниями и слабыми кислотами.

При определении солей органических азотсодержащих оснований, образованных галогенводородными кислотами (HCl, HBr, HI), необходимо принять дополнительные меры для их связывания в малоионизируемые соединения. Это объесняется тем, что галогенводородные кислоты в достаточной степени ионизируют в неводной среде и вновь могут вступать в реакцию солеобразования с определяемым веществом. В таком случае результаты будут занижены.

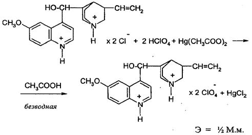
Связывание галогенводородных кислот в малоионизируемые соединения может осуществляться добавлением ртути (II) ацетата или уксусного ангидрида.

На практике чаще всего ртути ацетат используют в том случае, если анализируемое вещество растворяют в безводной CH3COOH. Например, в случае солей хинина (гидрохлорида, дигидрохлорида):

 

 


 

2HClO4 + 2 CH3COOH → 2ClO4- + 2CH3COOH2+

 

 

 

 

2 HCl + Hg(CH3COO)2 → HgCl2 + CH3COOH

 

2CH3COO- + 2CH3COOH2+ → 4 CH3COOH

 

Суммарно:

 

 

Если анализируемую соль растворяют в уксусном ангидриде, то добавление ртути ацетата не требуется, т.к. растворитель, реагируя с анионом галогенводородной кислоты, образует галогенангидрид. Например, это имеет место при титровании дибазола, эфедрина.

 







Date: 2015-09-18; view: 875; Нарушение авторских прав



mydocx.ru - 2015-2026 year. (1.283 sec.) Все материалы представленные на сайте исключительно с целью ознакомления читателями и не преследуют коммерческих целей или нарушение авторских прав - Пожаловаться на публикацию