Главная Случайная страница


Полезное:

Как сделать разговор полезным и приятным Как сделать объемную звезду своими руками Как сделать то, что делать не хочется? Как сделать погремушку Как сделать так чтобы женщины сами знакомились с вами Как сделать идею коммерческой Как сделать хорошую растяжку ног? Как сделать наш разум здоровым? Как сделать, чтобы люди обманывали меньше Вопрос 4. Как сделать так, чтобы вас уважали и ценили? Как сделать лучше себе и другим людям Как сделать свидание интересным?


Категории:

АрхитектураАстрономияБиологияГеографияГеологияИнформатикаИскусствоИсторияКулинарияКультураМаркетингМатематикаМедицинаМенеджментОхрана трудаПравоПроизводствоПсихологияРелигияСоциологияСпортТехникаФизикаФилософияХимияЭкологияЭкономикаЭлектроника






Лабораторная работа. Статистическое изучение изменчивости количественных признаков





Статистическое изучение изменчивости количественных признаков

Цель занятия: изучить основные закономернос­ти модификационной изменчивости организма (см.раздел 11.2), овладеть некоторыми методами их статистического анализа.

Предлагается оценить вариабельность ниже­следующих антропометрических показателей в группе. Для этого необходимо провести замеры и предварительный расчет индексов каждого сту­дента.

1. Кормический индекс.

Для определения индекса измеряемый садит­ся на горизонтальную поверхность и измеряется от макушки до плоскости сиденья. Измерение прово­дится при помощи антропометра, спина должна быть максимально выпрямлена. Далее опре­деляется рост стоя. Кормический индекс рассчиты­вается по формуле:

рост сидя

-----------------х 100%

общий рост

2. Определение длины руки.

Общая длина руки измеряется от латераль­ной точки акромиального отростка лопатки до кон­чика третьего пальца. При измерении рука с ла­донью, повернутой внутрь, вытягивается вдоль тела, чтобы локоть, кисть и пальцы были макси­мально разогнуты в суставах.

3. Антропометрия головы.

Шведский анатом Ретциус более 100 лет на­зад предложил рассчитывать головной индекс как показатель формы головы. Калипером измеряет­ся максимальная длина от глабеллы (костного вздутия между надбровными дугами) до описток-раниума (наиболее удаленной точки затылка). Максимальная ширина, измеряемая под прямым углом к сагитальной плоскости, обычно опреде­ляется в области теменных бугров. Головной ин­декс рассчитывается по формуле

ширина х 100%

Длина

Весь диапазон изменений головного индекса делят на три группы: долихоцефалы (ниже 75%), мезоцефалы (75-80 %) и брахицефалы (выше 80%). Однако головы с одинаковым индексом могут су­щественно отличаться по своей форме в целом.

4. С помощью ростомера измерить рост сту­дентов данной группы.

5. Определить массу тела тех же студентов.

Провести измерения по двум из пяти предло­женных антропометрических показателей. Все дан­ные записать в таблицы (табл.11.2, 11.3).

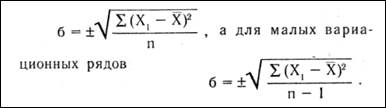
Распределить полученные результаты по клас­сам с интервалом 3,0 см. Вычислить среднюю ариф­метическую (х, у) каждого вариационного ряда, квадрат отклонений от средней арифметической (х — х)2, среднее квадратичное отклонение (б — сиг­ма), коэффициент вариации (V), коэффициент кор­реляции (г) и ошибку средней арифметической (т).

 

 

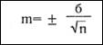
Среднее квадратичное отклонение дает воз­можность при сравнении данного признака с дру­гими в значительно большей степени судить о размахе изменчивости (т.е. о норме реакции), при сравнении изменчивости различных признаков (рост, масса тела и др.) необходимо вычислить и коэффициент вариации

 

 

Среднее квадратичное отклонение дает воз­можность при сравнении данного признака с дру­гими в значительно большей степени судить о размахе изменчивости (т.е. о норме реакции), при сравнении изменчивости различных признаков (рост, масса тела и др.) необходимо вычислить и коэффициент вариации

Истинная средняя величина выражается зна­чением

Для определения наличия или отсутствия за­висимости одного количественного признака от другого (например, роста и массы тела) вычисля­ют коэффициент корреляции

Корреляция бывает положительная (+1) и от­рицательная (—1), о положительной корреляции го­ворят, когда коэффициент г > 0,5, т.е. применимо к нашему случаю можно сказать, что с увеличением роста увеличивается длина стопы у человека.

 

 

Глава 12 ГЕНОТИПИЧ ЕСКАЯ ИЗМЕНЧИВОСТЬ

 

Генотипическая изменчивость — изменения, произошедшие в структуре генотипа и передавае­мые по наследству. К этому типу изменчивости относят комбинативную и мутационную изменчи­вости, которые увеличивают внутривидовое раз­нообразие в природе.

 

12.1. Комбинативная изменчивость

 

Комбинативная изменчивость возникла с по­явлением полового размножения, она связана с раз­личными вариантами перекомбинации родитель­ских задатков и является источником бесконечного разнообразия сочетаемых признаков. Дети, рожден­ные в разное время у одной родительской пары, похожи, но всегда отличаются рядом признаков.

Комбинативная изменчивость обуславливает­ся вероятностным участием гамет в оплодотворе­нии, имеющих различные перекомбинации хро­мосом родителей. При этом минимальное число возможных сортов гамет у мужчин и женщин оп­ределяется как 223 (без учета кроссинговера).

Большой вклад в комбинативную изменчивость вносит кроссинговер, приводящий к образованиюновых групп сцепления благодаря рекомбинации аллелей. При этом возможное число генотипов (g)


 

 

12.2. Мутационная изменчивость

 

Мутационная изменчивость связана с процес­сом образования мутаций. Мутации — это внезап­ные скачкообразные стойкие изменения в струк­туре генотипа. Мутационная теория была создана Гуго де Фризом в 1901 — 1903 гг. Основные поло­жения ее справедливы и по сей день: мутации — дискретные изменения наследственности, в приро­де спонтанны, мутации передаются по наследству, встречаются достаточно редко, могут быть вредны­ми, полезными и нейтральными и т.д.







Date: 2015-09-02; view: 1292; Нарушение авторских прав



mydocx.ru - 2015-2026 year. (0.649 sec.) Все материалы представленные на сайте исключительно с целью ознакомления читателями и не преследуют коммерческих целей или нарушение авторских прав - Пожаловаться на публикацию