Главная Случайная страница


Полезное:

Как сделать разговор полезным и приятным Как сделать объемную звезду своими руками Как сделать то, что делать не хочется? Как сделать погремушку Как сделать так чтобы женщины сами знакомились с вами Как сделать идею коммерческой Как сделать хорошую растяжку ног? Как сделать наш разум здоровым? Как сделать, чтобы люди обманывали меньше Вопрос 4. Как сделать так, чтобы вас уважали и ценили? Как сделать лучше себе и другим людям Как сделать свидание интересным?


Категории:

АрхитектураАстрономияБиологияГеографияГеологияИнформатикаИскусствоИсторияКулинарияКультураМаркетингМатематикаМедицинаМенеджментОхрана трудаПравоПроизводствоПсихологияРелигияСоциологияСпортТехникаФизикаФилософияХимияЭкологияЭкономикаЭлектроника






Изображение периодической функции





Пусть требуется найти изображение периодической функции с (при ). (При ).

 

 

 


Введем вспомогательную функцию , которая на полуотрезке равна , вне этого отрезка равна 0, т.е.

.

Ее изображением будет служить функция , определяемая следующим образом:

,

т.к. .

Но функцию в свою очередь можно выразить через следующим образом: , здесь - та же периодическая функция, но с запаздыванием на один период, равная нулю при . Переходя в последнем равенстве к изображениям и используя теорему запаздывания, получаем:

.

Отсюда находим

.

Таким образом, изображение периодической функции с определяется следующими формулами:

,

где

.

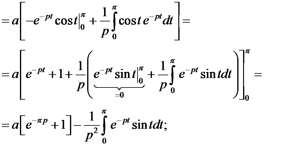
Пример. В качестве примера найдем изображение функции .

 

 


.

 







Date: 2015-09-02; view: 848; Нарушение авторских прав



mydocx.ru - 2015-2026 year. (1.269 sec.) Все материалы представленные на сайте исключительно с целью ознакомления читателями и не преследуют коммерческих целей или нарушение авторских прав - Пожаловаться на публикацию