Главная Случайная страница


Полезное:

Как сделать разговор полезным и приятным Как сделать объемную звезду своими руками Как сделать то, что делать не хочется? Как сделать погремушку Как сделать так чтобы женщины сами знакомились с вами Как сделать идею коммерческой Как сделать хорошую растяжку ног? Как сделать наш разум здоровым? Как сделать, чтобы люди обманывали меньше Вопрос 4. Как сделать так, чтобы вас уважали и ценили? Как сделать лучше себе и другим людям Как сделать свидание интересным?


Категории:

АрхитектураАстрономияБиологияГеографияГеологияИнформатикаИскусствоИсторияКулинарияКультураМаркетингМатематикаМедицинаМенеджментОхрана трудаПравоПроизводствоПсихологияРелигияСоциологияСпортТехникаФизикаФилософияХимияЭкологияЭкономикаЭлектроника






Изображения основных элементарных функций





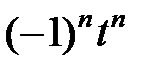
Зная изображение единичной функции или 1 , получим (опуская множитель )

. (4.1)

По формуле, выражающей теорему о дифференцировании изображения,

,

откуда

или , , и т.д.

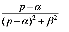
Применяя теорему смещения к функции , получим

. (4.2)

Например,

.

Формула (4.1) позволяет найти изображение функций , если эти функции преобразовать при помощи формул Эйлера:

,

откуда

(4.3)

и, в частности, при .

Аналогично,

, (4.4)

при .

,

откуда

, (4.5)

при ,

, (4.6)

при .

При помощи теоремы смещения получается следующая группа формул:

, (4.3)

, (4.4)

, (4.5)

(4.6)

и т.д.

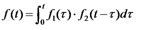
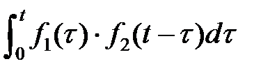
Теорема 4. Теорема свертывания. Сверткой двух функций и называется функция , определяемая формулой

.

(Операция получения свертки, называется свертыванием двух функций).

Если в интеграле заменить , причем, если , то , если , то , тогда формула примет вид:

или

,

т.е. функции и , входящие в свертку, равноправны.

Поставим теперь задачу выразить изображение свертки через изображения и свертываемых функций и .

Докажем теорему:

если , а , то , или .

Доказательство.

Применим к функции основную формулу для нахождения изображения:

,

Причем областью интегрирования является часть первого координатного угла, ограниченная прямыми и (рис. 4.1).

 

 


Рис. 4.1.

Изменим порядок интегрирования

т.к.

,

.

Таким образом

или

.

Доказали, что изображение свертки двух функций равно произведению их изображений.

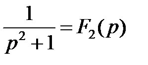
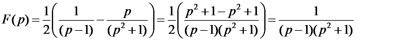
Пример. Найти оригинал , зная его изображение: .

Обозначим:

и

,

По теореме умножения функций

.

Итак:

,

т.е.

.

Проверим:

, что и требовалось доказать.

 

 







Date: 2015-09-02; view: 835; Нарушение авторских прав



mydocx.ru - 2015-2026 year. (1.088 sec.) Все материалы представленные на сайте исключительно с целью ознакомления читателями и не преследуют коммерческих целей или нарушение авторских прав - Пожаловаться на публикацию