Главная Случайная страница


Полезное:

Как сделать разговор полезным и приятным Как сделать объемную звезду своими руками Как сделать то, что делать не хочется? Как сделать погремушку Как сделать так чтобы женщины сами знакомились с вами Как сделать идею коммерческой Как сделать хорошую растяжку ног? Как сделать наш разум здоровым? Как сделать, чтобы люди обманывали меньше Вопрос 4. Как сделать так, чтобы вас уважали и ценили? Как сделать лучше себе и другим людям Как сделать свидание интересным?


Категории:

АрхитектураАстрономияБиологияГеографияГеологияИнформатикаИскусствоИсторияКулинарияКультураМаркетингМатематикаМедицинаМенеджментОхрана трудаПравоПроизводствоПсихологияРелигияСоциологияСпортТехникаФизикаФилософияХимияЭкологияЭкономикаЭлектроника






Определение основных технико-эксплуатационных и экономических показателей





 

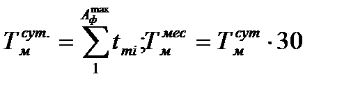
4.6.1. Время автобусов в наряде Тн, ч

(4.20)

 

где Тм - время непосредственной работы на маршруте (линии). Оно зависит от группы автобусов и определяется по диаграмме рис. Приложения 5.

(4.21)

Т 0 – время, затраченное на нулевой пробег.

 

(4.22)

 

Тп 3 – время, затраченное на подготовительно-заключитель­ные операции и медицинский осмотр.

 

(4.23)

 

2(tп3 +tм 0) - принимается, когда автобусы возвра­щаются на отстой в АТП или пересменка проходит в гараже;

 

(4.24)

Определяется также месячное время отстоя за сутки и за месяц .

 

4.6.2. Пробег автобусов, км.

 

Пробег на маршруте Lм, км.

 

, (4.25)

 

где Vэ − эксплуатационная скорость, равная

 

; (4.26)

Нулевой пробег L0

(4.27)

Общий пробег

(4.28)

 

4.6.3. Коэффициент использования пробега

 

(4.29)

 

4.6.4. Число рейсов автобусов Zр , ед.

(4.30)

 

4.6.5. Списочное число автобусов Ас, ед.

(4.31)

4.6.6. Провозная возможность маршрута Qм, пасс.

 

(4.32)

4.6.7. Количество перевезенных пассажиров Qпасс, пасс.

 

(4.33)

4.6.8. Пассажирооборот Р, пасс.км

(4.34)

 

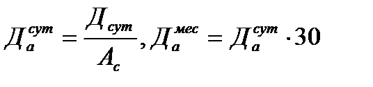
4.6.9. Выработка на один списочный автобус Qсп, в пасс/сут., в пасс/мес.

(4.35)

Выработка Рсп в пасс/сут., в пасс/мес.

 

(4.36)

 

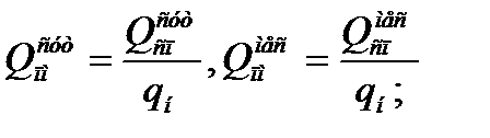
4.6.10. Выработка на одно пассажирское место Qпм, в пасс/сут. на посадочное место, в пасс/мес. на посадочное место

 

(4.37)

 

Выработка на Pпм, в пасс/сут. На посадочное место, в пасс/мес. На посадочное место

(4.38)

4.6.11. Доходы Д, руб.

 

Суточные доходы

 

(4.39)

где Тс - тарифная ставка;

Qсум - количество перевезенных пассажиров;

Qб - доля пассажиров, пользующихся правом бесплатного проезда.

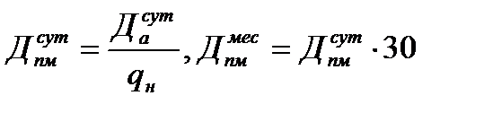
Суточные доходы, приходящиеся на один автобус Да, руб.

 

, (4.40)

 

суточные доходы, приходящиеся на одно пассажирское место Дпм, руб.

 

, (4.41)

 

суточные доходы, приходящиеся на один час работы Дч, руб.

. (4.42)

 







Date: 2015-09-02; view: 623; Нарушение авторских прав



mydocx.ru - 2015-2026 year. (1.228 sec.) Все материалы представленные на сайте исключительно с целью ознакомления читателями и не преследуют коммерческих целей или нарушение авторских прав - Пожаловаться на публикацию