Главная Случайная страница


Полезное:

Как сделать разговор полезным и приятным Как сделать объемную звезду своими руками Как сделать то, что делать не хочется? Как сделать погремушку Как сделать так чтобы женщины сами знакомились с вами Как сделать идею коммерческой Как сделать хорошую растяжку ног? Как сделать наш разум здоровым? Как сделать, чтобы люди обманывали меньше Вопрос 4. Как сделать так, чтобы вас уважали и ценили? Как сделать лучше себе и другим людям Как сделать свидание интересным?


Категории:

АрхитектураАстрономияБиологияГеографияГеологияИнформатикаИскусствоИсторияКулинарияКультураМаркетингМатематикаМедицинаМенеджментОхрана трудаПравоПроизводствоПсихологияРелигияСоциологияСпортТехникаФизикаФилософияХимияЭкологияЭкономикаЭлектроника






Расчет необходимого количества водителей





 

Для расчета необходимого количества водителей автобусы необходимо сгруппировать по продолжительности их работы на маршруте, анали­зируя диаграмму рис. 5 Приложения. Исходя из диаграммы, можно сделать вывод, что только один автобус работает в одну смену продолжительностью в Тм= 6 часов. Он и составит первую группу. Во вторую группу входят четыре автобуса, работающие три смены общей продолжитель­ностью в 19 часов со сменой водительских бригад на линии в конечных пунктах маршрута. Затем два автобуса двухсменных с вы­емкой продолжительностью работу Тм = 15 часов, один автобус продолжительностью работы 14 часов, и еще один 13 часов. Эти четыре автобуса заходят на отстой в АТП и смена автобусных бригад происходит в гараже. Остальные автобусы работают в две смены, причем семь автобусов общей продолжительностью Тм= 14 часов и два автобуса Тм = 13 часов. Смена водителей предусмотрена на линии.

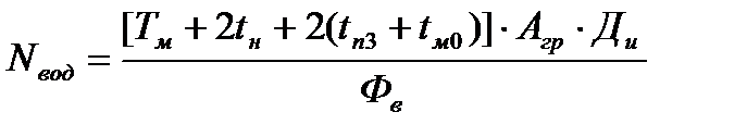
Количество водителей в каждой группе устанавливается из вы­ражения (4.16):

, (4.16)

 

где Тм время работы на маршруте по группам автобусов;

tн время нулевого пробега по каждому выходу (2tн при­нимается, когда автобусы заходят в АТП на отстой), tн =0,5 ч;

tn 3 − время на проведение подготовительно-заключительных операций по каждому выходу;

tм 0 время медицинского осмотра водителя перед выездом;

суммарное время tn3 + tм0 принимается равным 0,4 часа, 2(tn3 + tм0) берется тогда, когда автобусы заходят в АТП на отстой;

Агр − количество автобусов в конкретной группе;

Ди число инвентарных (календарных) дней работы, так как расчет ведется на месяц, то Ди = 30;

Фв месячный фонд рабочего времени одного водителя, Фв = 176 ч.

 

Число водителей в каждой группе на один автобус nвод . определяется выражением (4.17)

, (4.17)

 

где nвод . округляется до целого числа.

После этого выбирается форма организации труда водителей, и составляются графики работы водителей всех групп. При организации труда водителей необходимо строго придерживаться нормируемого режима труда и отдыха, чередования утренних, дневных и вечерних смен работы и сверхурочных работ. Специфические условия органи­зации перевозок пассажиров приводят к тому, что, как правило, не удается установить рабочий день нормируемой продолжительности. Время работы за смену в зависимости от выхода может быть различ­ным, поэтому применяется помесячный учет рабочего времени, при котором продолжительность смены может быть больше или меньше нормируемой, но общее время работы за месяц не должно превышать месячного фонда.

При помесячном учете рабочего времени продолжительность одной смены для водителей допускается не более 10 часов. При разрывной смене и двух выходах продолжитель­ность перерыва должна быть не менее двух часов.

Для водителей автобусов каждой групп по графикам их работы подсчитывают число часов работы в месяц и сравнивают с месячным фондом. Если у определенных водителей этот фонд перевыполнен, а у других недовыполнен, то их нужно скомпенсировать. Если компенсацию провести не удается и имеет место переработка или недора­ботка в целом, то надо скорректировать число водителей, необхо­димых для маршрута на каждый день.

(4.18)

 

где АЧсут . − суточное количество машино-часов.

Затем определяют среднее число водителей, приходящиеся на один автобус (4.19):

(4.19)

 

Это необходимо для того, чтобы сравнить и уточнить округленные значения предыдущего расчета потребного количества водителей для групп автобусов. Затем уточненные значения взять за основу и для них рассчитать месячные фонды рабочего времени. В целом они должны соответствовать нормативам. Для схемных групп водителей составляют графики их работы и представляют в виде таблицы (табл. 4.4).

 

Таблица 4.4 – График работы водителей на маршруте

Водители Числа месяца Итого часов
                             
Первый           В           В     В  
Второй         В           В     В    
Третий В           В                  

 


В табл. 4.4 приведены следующие обозначения: I - первая смена работы; 2 - вторая смена работы; В - выходной день; 0 - дополни­тельный день для межсменного отдыха.

Такой график составляется для двухсменного автобуса с большой продолжительностью смены и трех водителях на один автобус. В других случаях будут свои гра­фики.

 







Date: 2015-09-02; view: 2072; Нарушение авторских прав



mydocx.ru - 2015-2026 year. (0.252 sec.) Все материалы представленные на сайте исключительно с целью ознакомления читателями и не преследуют коммерческих целей или нарушение авторских прав - Пожаловаться на публикацию