Главная Случайная страница


Полезное:

Как сделать разговор полезным и приятным Как сделать объемную звезду своими руками Как сделать то, что делать не хочется? Как сделать погремушку Как сделать так чтобы женщины сами знакомились с вами Как сделать идею коммерческой Как сделать хорошую растяжку ног? Как сделать наш разум здоровым? Как сделать, чтобы люди обманывали меньше Вопрос 4. Как сделать так, чтобы вас уважали и ценили? Как сделать лучше себе и другим людям Как сделать свидание интересным?


Категории:

АрхитектураАстрономияБиологияГеографияГеологияИнформатикаИскусствоИсторияКулинарияКультураМаркетингМатематикаМедицинаМенеджментОхрана трудаПравоПроизводствоПсихологияРелигияСоциологияСпортТехникаФизикаФилософияХимияЭкологияЭкономикаЭлектроника






Выбор автобусов и определение их потребности для обслуживания маршрута





 

Для перевозки пассажиров могут быть использованы автобусы различных моделей и вместимости. Однако эффективность использо­вания их далеко неодинакова, если номинальная вместимость не бу­дет соответствовать фактической пассажиронапряженности на маршру­те. Использование автобусов малой вместимости при большой мощно­сти пассажиропотоков увеличивает потребное количество транспортах средств, повышает загрузку улиц и потребность в водителях. Применение же автобусов большой вместимости на направлениях с пассажиропотоками малой мощности приводит к значительным интервалам движения автобусов и к излишним затратам времени пассажиров на ожидание.

В процессе работы необходимо определить потребность на маршруте в автобусах различной вместимости по часам суток. При этом задача может быть решена как на ЭВМ с использованием возможностей электронных таблиц EXCEL, так и с помощью методики графоаналитического метода.

Графоаналитический метод заключается в следующем. В зависи­мости от мощности пассажиропотока в час пик выбирается ориентировочное значение вместимости автобуса по табл. 4.1.

Затем по табл. 4.2 выбираются два типа автобусов, условно названных автобусами большей (q1) и меньшей (q2) вместимости, по которым ве­дется сравнение.

Номинальную вместимость можно установить и через заданный интервал движения в часы «пик» (I min = 3-4 мин) и максимальную величину пассажиропотока (4.1):

 

(4.1)

 

Таблица 4.1− Рекомендации по выбору автобусов по вместимости с учетом величины пассажиропотока в час-пик

Пассажиропоток в час-пик, пасс./час Вместимость автобуса, пасс.
200-1000  
1000-1800  
1800-2600  
2600-3800  
3800 и выше  

 

Таблица 4.2 Рекомендации по выбору марки автобуса с учетом вместимости

 

Марка и модель автобуса Число мест для сидения, Общая вместимость автобуса qн, пасс. При γ =1
МАЗ-105    
МАЗ-103    
Неман-520    
Неман 520123-250    
МАЗ-256    

 

Имея зависимости (4.2) и (4.3)

мин; (4.2)

 

мин. (4.3)

 

где t 0 − время оборота автобуса на маршруте, мин.;

Аi − количество автобусов на маршруте;

Jа − интервал движения, мин.;

lм − длина маршрута, км;

V э − эксплуатационная скорость движения, км/ч,

 

строят номограмму (рис.1 Приложения), по которой можно определить для любого часового пассажиропотока количество автобусов на маршруте и интервал движения. Связь между пассажиропотоком и количеством автобусов на маршруте рассчитывается по формуле

, ед. (4.4)

 

где Qmax − максимальная мощность пассажиропотока, пасс./ч;

qн − номинальная вместимость автобуса, пасс.

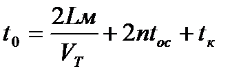
Поскольку эксплуатационная скорость не задается, время оборота необходимо вычислять по формуле.

 

, мин. (4.5)

 

где Lм − длина маршрута;

VТ − техническая скорость;

n − число промежуточных остановок;

tос − время простоя на промежуточной остановке;

t к − время простоя на конечных остановках.

Построение номограммы.

В верхней таблице номограммы (рис. 1 Приложения) принимается

 

АI = 1, J 1 = t 0; А 2 = 2, J 2 = t 2/2:….. Аi = i, J i = t 0/ i, (4.5)

 

где i − количество автобусов на маршруте.

 

Расчет ведется до величин:

(4.6)

 

Здесь q 2 – номинальная вместимость автобуса, условно названного малой вместимостью.

Для пользования номограммой необходимо построить две опорные точки q 1 и q 2, как точки пересечения трех лучей.

Первый луч проводится от начала координат графика распределения пассажиропотока по часам суток (ось абсцисс соответствует величине пассажиропотока, а ось ординат часам суток) до клетки А1 в конце верхней таблицы. Два других луча проводятся из точки на оси абсцисс, соответствующей максимальному пассажиропотоку до клеток Ам1 и Ам2 верхней таблицы (рис. 1 Приложения). При этом

 

. (4.7)

Работа с номограммой осуществляется следующим образом. Величина пассажиропотока в любой час суток сносится на ось и из этой точки проводятся два луча через опорные точки q1 и q2 до верхней таблицы. Концы лучей при этом упираются в клетки, которые показывают количество автобусов на маршруте (большей и меньшей вместимости) и интервал их движения при данном пассажиропотоке.


Второй этап сравнения показан на рис. 2 Приложения. По оси ординат приводятся значения необходимого количества автобусов Ан при γ н выбираемой студентом в зависимости от величины пассажиропотока в пределах от 1 до 0,4. Эти значения должны быть скорректированы с учетом качественного обслуживания пассажиров.

1. Корректировка «пиковых» зон проводится в соответствии с возможностью АТП по выпуску автобусов, т.е. с учетом коэффициента дефицита автобусов:

, (4.8)

 

где − действительное (откорректированное) значение числа автобусов на маршруте;

− необходимое (расчетное) значение количества автобусов на маршруте;

− коэффициент дефицита автобусов.

Максимальный выпуск автобусов должен проводиться в течение всей «пиковой» зоны, которая выбирается студентом самостоятельно на основании визуальных особенностей диаграммы распределения пассажиропотока по часам суток, и имеет продолжительность 2-4 часа.

2. Корректировка «допиковой», «межпиковой» и «послепиковой» зон проводится в соответствии с выбором оптимальных величин ин­тервалов движения по времени суток.

Минимальное количество автобусов, которое необходимо иметь на маршруте (Аmin) рассчитывается исходя из максимально до­пустимого интервала движения автобусов в часы спада пассажиропо­токов по формуле (4.9).

, (4.9)

 

Коэффициент наполнения по часам суток в «межпиковой» зоне устанавливается с учетом уровня качества обслуживания пассажиров (4.10):

 

, (4.10)

Часовое количество автобусов на маршруте по характерным периодам суток должно быть по возможности одинаковым.

 







Date: 2015-09-02; view: 1754; Нарушение авторских прав



mydocx.ru - 2015-2026 year. (0.751 sec.) Все материалы представленные на сайте исключительно с целью ознакомления читателями и не преследуют коммерческих целей или нарушение авторских прав - Пожаловаться на публикацию