Главная Случайная страница


Полезное:

Как сделать разговор полезным и приятным Как сделать объемную звезду своими руками Как сделать то, что делать не хочется? Как сделать погремушку Как сделать так чтобы женщины сами знакомились с вами Как сделать идею коммерческой Как сделать хорошую растяжку ног? Как сделать наш разум здоровым? Как сделать, чтобы люди обманывали меньше Вопрос 4. Как сделать так, чтобы вас уважали и ценили? Как сделать лучше себе и другим людям Как сделать свидание интересным?


Категории:

АрхитектураАстрономияБиологияГеографияГеологияИнформатикаИскусствоИсторияКулинарияКультураМаркетингМатематикаМедицинаМенеджментОхрана трудаПравоПроизводствоПсихологияРелигияСоциологияСпортТехникаФизикаФилософияХимияЭкологияЭкономикаЭлектроника






Тепловое самовоздействие





Среди рассмотренных нелинейных оптических эффектов особое место занимает тепловое самовоздействие. Оно является наиболее низкопороговым и, вследствие этого, легко наблюдается при распространении в среде даже слабого лазерного излучения с мощностью не превышающей 10 – 3 Вт.

Основные физические процессы, лежащие в основе данного эффекта, следующие:

1. Распространение монохроматического излучения в поглощающей среде сопровождается достаточно сильной диссипацией электромагнитной энергии (переходом ее в тепловую энергию движения частиц среды).

2. Диссипация энергии электромагнитного поля сопровождается сильным нагреванием среды, приводящим к повышению температуры в областях сильного поглощения.

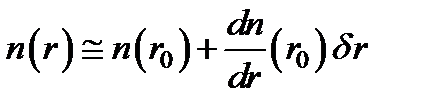
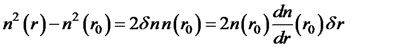
3. Локальное повышение температуры приводит к изменению плотности среды. Изменение плотности среды с температурой при постоянном давлении можно представить так: , где r 0 = r (T), - коэффициент теплового расширения, зависящий в общем случае от температуры. Если a = const, то при небольших изменениях температуры выражение можно упростить: ,

4. Локальное изменение плотности среды приводит к локальному изменению показателя преломления. Показатель преломления вещества определяется уравнением Клаузиуса-Мосотти: ,

где - массовый показатель преломления (R - поляризуемость одного моля, mm - молярная масса), не зависящий от температуры, r - плотность вещества. Тогда . Подставив в полученное выражение значение плотности из, после преобразования получаем: n = n (T 0) - c 1 dT. Если учесть, что изменение температуры d T пропорционально поглощаемой, а следовательно, и падающей мощности или интенсивности, то закон изменения показателя преломления принимает следующий вид:, где c 1, n 2 - постоянные величины, зависящие от свойств среды. Таким образом тепловое самовоздействие излучения приводит к известному уже нелинейному закону изменения показателя преломления с отрицательной нелинейной поправкой.

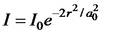
Локальное изменение показателя преломления, возникающие на пути распространения светового излучения, приводит к отклонению направления его распространения от прямолинейного. Обычно в эксперименте используют пучки света конечного поперечного сечения, по которому плотность потока энергии распределена неравномерно, следовательно, и показатель преломления изменяется по сечению пучка. Для определенности положим сечение пучка круглым с эффективным радиусом a 0, а распределение средней плотности потока энергии (интенсивности) - подчиняющимся закону Гаусса: ,

где I 0 - интенсивность в центре пучка (r = 0). Как известно, в зависимости от характера нелинейности, знак нелинейной поправки к показателю преломления может быть как положительным, так и отрицательным.

Если нелинейная поправка положительна, то скорость распространения периферийных участков волны (v = c / n) больше, чем центральных, в результате первоначально плоский фронт выгибается в сторону распространения пучка и фокусируется на оси (рис. 8.10) - возникает явление самофокусировки, о котором уже шла речь

Рис. 8.10 Рис. 8.11

Если нелинейная поправка отрицательна, происходит расширение пучка, его дефокусировка, поскольку скорость распространения центральных участков пучка больше скорости периферийных (рис. 8.11). В этом случае выражение с учетом принимает вид: ,

Из анализа данного выражения следует, что на оси пучка (r = 0) показатель преломления минимален и равен n (0) = n 0 + n 2 I 0, причем следует напомнить, что n 2 I 0 << n 0, Графическое изображение показателя преломления в сечении пучка лазерного излучения с гауссовым распределением интенсивности имеет вид, представленный на рис. 8.12.

Рис. 8.12 Рис. 8.13

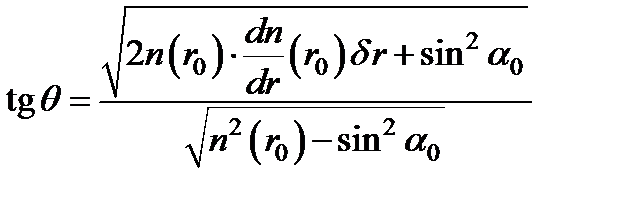
Сделаем оценку угла нелинейной расходимости ql при прохождении им слоя вещества толщиной l (рис. 8.13). Рассмотрим луч света, падающий под небольшим углом a0 на слой вещества толщиной l. Вследствие неоднородности показателя преломления вдоль радиуса падающего пучка, выходящий луч окажется отклоненным на угол ql. Распределение показателя преломления как следует из, аксиально симметрично относительно оси Oz.

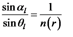
Закон преломления рассматриваемого луча на первой и второй границах слоя запишется в виде:

, .

Закон преломления в произвольной точке траектории луча (например, в точке P) можно представить так: . Тогда для интересующих нас углов q закон принимает вид: ,

Применим полученное выражение к первой граничной и к какой-либо параллельной ей произвольной поверхностям: ,

Отсюда выразим: ,


Вследствие относительно малого изменения показателя преломления вдоль толщины слоя, можно представить как , откуда: .Тогда:

. Полученное выражение подставим в:

. Угол падения луча на первую грань a0 можно положить равным нулю (a 0 = 0), тогда . С другой стороны .

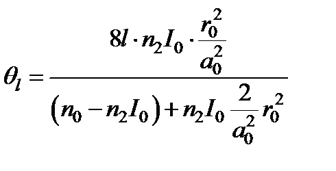
Возводя это выражение в квадрат, определим . При этом искомое значение угла отклонения луча принимает вид: .

Подставим в значение показателя преломления из, предварительно разложив его в ряд и ограничившись двумя первыми членами ,

так что

Из анализа выражения видно, что угол отклонения луча зависит от координат его точки падения (r 0) на поверхность слоя. Луч, падающий вдоль оси Oz, не испытывает углового смещения, тогда как луч с координатой r 0 = a 0 испытывает максимальное угловое смещение

Качественный анализ полученного выражения позволяет нам сделать вывод о том, что увеличить угол расходимости пучка можно двумя способами: 1) увеличением интенсивности падающего пучка I 0; 2) уменьшением a 0, т.е. первоначальной фокусировкой падающего пучка.

 

· Основные свойства электромагнитных волн

· Электромагнитная природа света(1) Свойства электромагнитных волн(1)

· Волновое уравнение(1) Плоская волна(2) Плоская гармоническая волна(2-3) Сферическая волна(3) Сферическая гармоническая волна(4) Свойства плоской гармонической электромагнитной волны(4-5) Плотность потока энергии(5)

· Принцип суперпозиции(5-6) Биения(6-7) Стоячие волны(7-9) Опыты Винера(9)

· Поляризация электромагнитных волн(10)

· Эллиптическая поляризация(10-11) Правая и левая эллиптические поляризации(11-12) Линейная и круговая поляризации(12-13) Параметры Стокса(13-15) Сфера Пуанкаре(13-15)

· Фотометрия(15-22)

· Немонохроматическое излучение

· Спектральные разложения в оптике(23)

· Метод спектральных разложений(23) Периодические функции(23-24) Ряд Фурье(23-24) Дискретный спектр(23-24) Спектральные амплитуды и фазы(24) Непериодические функции(25) Интеграл Фурье(25) Сплошной спектр(25) Спектральная амплитуда и спектральная фаза(26) Комплексная запись(27) Примеры(27) Связь между длительностью импульса и шириной спектра(28) Полная и неполная спектральная информация(28-29) Спектральная плотность(28-29) Равенство Парсеваля(29)

· Классическая модель излучателя электромагнитных волн(29-30)

· Излучение диполя(30-31) Гармонические колебания диполя(31-32) Радиационное затухание(32-33) Естественная ширина линии излучения(34-35)

· Уширение спектральных линий(35-36)

· Доплеровское уширение(36-37) Форма составной линии излучения(37)

· Волновые пакеты(38)

· Волновой пакет, образованный двумя волнами(38) Групповая скорость(38-39) Суперпозиция колебаний с эквидистантными частотами(39-40)

· Модулированные волны(40)

· Модуляция амплитуды(40-41) Модуляция частоты и фазы(41-42) Спектр колебания с гармонической модуляцией частоты(42)

· Интерференция света

· Интерференция света(43)

· Интерференция монохроматического света(43-44) Общая интерференционная схема(44-45) Ширина интерференционной полосы(45) Распределение интенсивности(45)

· Когерентность(46-47)

· Длина когерентности(46-47) Ширина когерентности(47-48)

· Интерференционные схемы(48)

· Бипризма Френеля(48-49) Бизеркала Френеля(49-50) Билинза Бийе(50-51)


· Интерференция немонохроматического света(51-53)

· Понятие о временной когерентности(51-53)

· Интерференция от протяженного источника(54-55)

· Понятие о пространственной когерентности(54-55) Пространственная когерентность(56) Угол и ширина когерентности(56)

· Интерференция света в тонких пленках(57-59)

· Итерференционная картина, получаемая с помощью плоскопараллельной пластинки(57-59) Итерференционная картина, получаемая с помощью пластинки переменной толщины(60-62)

· Многолучевая интерференция(62-66)

· Интерферометр Фабри – Перо(66-69)

· Дифракция света

· Дифракция света(69-70) Принцип Гюйгенса – Френеля(69)

· Дифракционный интеграл Френеля(70-72)

· Дифракция Френеля на простейших препятствиях(72-44) Графический способ решения дифракционных задач(73-74) Спираль Френеля(72-73)

· Спираль Френеля(72-73) Дифракция на круглом отверстии(73-74) Дифракция на диске(75) Пятно Пуассона(75) Зонная пластинка(75-76)

· Дифракция Френеля на полуплоскости и щели(76-77) Спираль Корню(77-78)

· Дифракция от прямолинейного края полуплоскости(76-77) Спираль Корню(77-78) Дифракция от щели(78-79)

· Свободное распространение плоской волны и нормировка интеграла Гюйгенса – Френеля(79-82)

· Дифракция Фраунгофера(82-83)

· Дифракция Фраунгофера на щели(83-85) Дифракция на двух щелях(85-87) Дифракционная решетка(87-89)

· Дифракция Фраунгофера на отверстиях произвольной формы(90-92)

· Теория дифракции Кирхгофа(93)

· Уравнение Гельмгольца(93) Интегральная теорема Кирхгофа –Гельмгольца(93-95)

· Основные понятия Фурье-оптики(95-96)

· Спектральное описание пространственной структуры поля(96-97) Инварианты распространения светового пучка(97) Приближение Френеля(97-98) Дифракционная расходимость излучения(98) Линза, как элемент, выполняющий пространственное преобразование Фурье(98-99) Коэффициент передачи тонкой линзы(99-100) Распределение света в фокальной плоскости линзы(100-101) Формирование оптического изображения(101-102) Опыты Аббе – Портера(102-103) Метод темного поля(103) Метод фазового контраста(103-104) Разрешающая способность микроскопа и телескопа(104-105) Электронный микроскоп(105) Телескоп(105-106)

· Физические принципы голографии(106)

· Запись светового поля(107) Восстановление поля(107) Классификация голограмм(107-110) Практические приложения голографии(110-111) Свойства голограмм(111)

· Распространение света в изотропных средах

· Распространение световых волн в однородных изотропных средах(112)

· Классическая электронная теория дисперсии(113-117)

· Анализ дисперсионной формулы(117-120)

· Дисперсия в металлах(120-122) Поглощение света(123-124)

· Отражение и преломление световых волн на границе раздела двух диэлектриков(124-125)

· Законы отражения и преломления света(124-125)

· Формулы Френеля(126-127)


· Анализ формул Френеля(128)

· Фазовые соотношения(128) Отражательная и пропускательная способности(128-132) Поляризация при отражении и преломлении(128-132)

· Рассеяние света(132-135)

· Рэлеевское рассеяние света(136-137) Поляризация рассеянного света(137) Молекулярное рассеяние(138-139)

· Распространение света в анизотропных средах

· Анизотропные среды(140-141) Двойное лучепреломление(140-141)

· Плоские монохроматические волны в анизотропной среде(141-145) Одноосные кристаллы(141-145)

· Преломление на границе анизотропной среды(145-148) Построения Гюйгенса(145-148)

· Кристаллические фазовые пластинки(149-151)

· Прохождение света через поляризатор(151-152) Закон Малюса(152)

· Интерференция поляризованных волн при прохождении через кристаллы(153-154)

· Вращение плоскости поляризации(155-156)

· Естественное вращение плоскости поляризации(155-156) Феноменологическая теория вращения плоскости поляризации(156-158)

· Магнитное вращение плоскости поляризации(158-160)

· Применение явления вращения плоскости поляризации(160)

· Искусственная анизотропия(161)

· Анизотропия при деформации(161) Анизотропия, создаваемая в веществе электрическим полем(161-162) Анизотропия, создаваемая в веществе магнитным полем (явление Коттона-Мутона)(162) Эффект Поккельса(162-163)

· Геометрическая оптика

· Геометрическая оптика как предельный случай волновой оптики(163-168)

· Преломление на сферической поверхности(168-169)

· Изображение малых предметов(169-170) Увеличение(169-170)

· Общая формула линзы(170-172)

· Центрированная оптическая система и ее кардинальные элементы(172-174)

· Аберрации оптических систем(175-176) Источники аберраций(175-176)

· Элементы квантовой оптики

· Исследование равновесного теплового излучения(177-180)

· Формула Рэлея – Джинса(180) Формула Вина(180) Формула Планка(181) Закон Стефана – Больцмана(182) Закон смещения Вина(182)

· Усиление и генерация света(183)

· Спонтанные и вынужденные переходы(183) Коэффициенты Эйнштейна(183-184) Оптические усилители и генераторы(184-185) Условия усиления(185) Воздействие светового потока на заселенность уровней(185-186) Условия насыщения(186) Создание инверсной заселенности(186) Принципиальная схема лазера(187-189) Порог генерации(189) Условия стационарной генерации(190) Добротность(190) Непрерывные и импульсные лазеры(190) Метод модулированной добротности(191)

· Нелинейные явления в оптике(191)

· Взаимодействие света со средой(191-194) Поляризованность среды(191-194) Основные нелинейные эффекты(194-195)

· Первое приближение(195-198) Оптическое детектирование(195-198) Генерация второй гармоники(195-198)

· Второе приближение(198-200) Эффекты самовоздействия(198-200)

· Параметрическая генерация света(200-201) Тепловое самовоздействие(201-203)

 







Date: 2015-08-06; view: 607; Нарушение авторских прав



mydocx.ru - 2015-2026 year. (0.619 sec.) Все материалы представленные на сайте исключительно с целью ознакомления читателями и не преследуют коммерческих целей или нарушение авторских прав - Пожаловаться на публикацию