Главная Случайная страница


Полезное:

Как сделать разговор полезным и приятным Как сделать объемную звезду своими руками Как сделать то, что делать не хочется? Как сделать погремушку Как сделать так чтобы женщины сами знакомились с вами Как сделать идею коммерческой Как сделать хорошую растяжку ног? Как сделать наш разум здоровым? Как сделать, чтобы люди обманывали меньше Вопрос 4. Как сделать так, чтобы вас уважали и ценили? Как сделать лучше себе и другим людям Как сделать свидание интересным?


Категории:

АрхитектураАстрономияБиологияГеографияГеологияИнформатикаИскусствоИсторияКулинарияКультураМаркетингМатематикаМедицинаМенеджментОхрана трудаПравоПроизводствоПсихологияРелигияСоциологияСпортТехникаФизикаФилософияХимияЭкологияЭкономикаЭлектроника






Параметры Стокса. Сфера Пуанкаре





Как уже отмечалось, для определения эллипса поляризации необходимы три независимые величины, например амплитуды E 10, E 20 и разность фаз d или малая и большая оси a, b и угол y, характеризующий ориентацию эллипса. Для практических целей состояние поляризации удобно задавать некоторыми параметрами, обладающими одинаковой физической размерностью. Такие параметры были введены Стоксом, и для любой волны их можно определить из простых экспериментов.

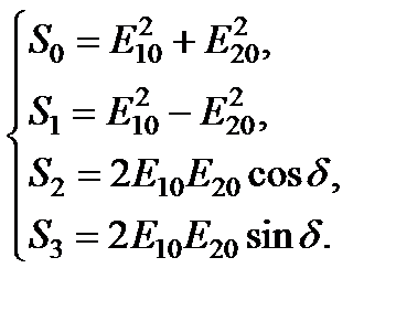
Для плоской монохроматической волны параметрами Стокса служат четыре величины.

Лишь три из них независимы, так как справедливо тождество

.

Очевидно, что параметр S 0 пропорционален интенсивности волны. Параметры S 1, S 2, S 3 простым образом связаны с углом y, характеризующим ориентацию эллипса, и углом c, характеризующим эллиптичность и направление вращения. Справедливы следующие соотношения:

.

Например, последнее из уравнений можно получить, используя ранее записанные соотношения:

, , , ,

и тригонометрические формулы .

Следовательно, .

Выражения подсказывают простое геометрическое представление различных состояний поляризации: S 1, S 2, S 3 можно рассматривать как декартовы координаты точки P на сфере S радиуса S 0, причем 2 c и 2 y являются сферическими угловыми координатами этой точки (рис. 1.10). Каждому возможному состоянию поляризации плоской монохроматической волны заданной интенсивности (S 0 = const) соответствует одна точка на сфере S, и наоборот.

Так как угол c (или sin(2 c)) положителен или отрицателен в зависимости от того, имеем ли мы дело с правой или левой поляризацией, то из последнего уравнения соотношений следует, что правая поляризация представляется точками на S, лежащими выше экваториальной плоскости, а левая – точками на S, лежащими ниже этой плоскости.

Р и с. 1.10

Для линейно поляризованного света разность фаз равна нулю или целому, кратному p. Тогда, согласно последнему уравнению соотношений, параметр Стокса S 3 равен нулю, так что линейная поляризация представляется точками на экваториальной плоскости.

Правая круговая поляризация представляется северным полюсом (E 10 = E 20 = E 00, S 1 = 0, d = p /2, S 2 = 0, S 3 = S 0), а левая поляризация – южным полюсом (E 10 = E 20 = E 00, S 1 = 0, d = – p /2, S 2 = 0, ). Такое геометрическое представление различных состояний поляризации точками на сфере было предложено Пуанкаре. Оно чрезвычайно полезно в кристаллооптике для определения влияния материальных сред на состояние поляризации проходящего через них света. Сфера S называется сферой Пуанкаре.

В плоской монохроматической волне напряженность электрического поля (а также и магнитного поля ) есть регулярная функция координат и времени. Такая волна называется полностью поляризованной или просто поляризованной. Мы дали исчерпывающее представление о состояниях поляризации такой волны. Показали, что в общем случае такая волна поляризована эллиптически, а характеристики эллипса поляризации определяются амплитудами и фазами ортогональных компонент светового поля Ex и Ey.

Изложенное показывает, что электромагнитная волна с любой поляризацией может быть представлена в виде суперпозиции двух линейно поляризованных волн, плоскости колебаний электрического вектора (плоскости поляризации) которых взаимно перпендикулярны. Поэтому можно сказать, что электромагнитные волны обладают двумя независимыми состояниями поляризации.

Как мы видели, решением уравнений Максвелла служит монохроматическая волна, и поэтому она обязательно должна быть поляризована (в общем случае эллиптически). Однако опыт показывает, что излучение всех реальных источников света (кроме лазерных) неполяризовано. Это объясняется тем, что нам одновременно приходится наблюдать излучение огромного числа атомов, посылающих различно поляризованный свет. Кроме того, в каждом акте излучения атом испускает свет с новым состоянием поляризации. Таким образом, обычно наблюдается множество всех возможных ориентаций векторов и и быстрая смена этих ориентаций, что и представляет собой естественный свет.

Естественный свет есть совокупность световых волн со всеми возможными направлениями колебаний, быстро и беспорядочно сменяющими друг друга; т.е. характеризуется неупорядоченностью направлений колебаний, совокупность эта статистически симметрична относительно волновой нормали.

Существует понятие частично поляризованного света. Он характеризуется тем, что одно из направлений колебаний оказывается преимущественным, но не исключительным. Волновая нормаль уже не является прямой, по отношению к которой направления колебаний электрического (магнитного) вектора статистически равновероятны в плоскости, нормальной к этой прямой. Частично поляризованный свет можно рассматривать как смесь естественного и поляризованного. Можно в этом случае ввести понятие степени поляризации:


где и – средние значения квадратов двух взаимно перпендикулярных компонент напряженности электрического поля, выбранных в плоскости, перпендикулярной направлению распространения волны.

Если P = 0, то свет неполяризованный или естественный; если P = 100%, то поляризация света линейная.

На практике поляризованное излучение получают или от лазерных источников, механизм работы которых мы рассмотрим позже, или используют специальные приборы, называемые поляризаторами. С их помощью можно не только поляризовать излучение, но и анализировать состояние поляризации.

 







Date: 2015-08-06; view: 1781; Нарушение авторских прав



mydocx.ru - 2015-2026 year. (1.899 sec.) Все материалы представленные на сайте исключительно с целью ознакомления читателями и не преследуют коммерческих целей или нарушение авторских прав - Пожаловаться на публикацию