Главная Случайная страница


Полезное:

Как сделать разговор полезным и приятным Как сделать объемную звезду своими руками Как сделать то, что делать не хочется? Как сделать погремушку Как сделать так чтобы женщины сами знакомились с вами Как сделать идею коммерческой Как сделать хорошую растяжку ног? Как сделать наш разум здоровым? Как сделать, чтобы люди обманывали меньше Вопрос 4. Как сделать так, чтобы вас уважали и ценили? Как сделать лучше себе и другим людям Как сделать свидание интересным?


Категории:

АрхитектураАстрономияБиологияГеографияГеологияИнформатикаИскусствоИсторияКулинарияКультураМаркетингМатематикаМедицинаМенеджментОхрана трудаПравоПроизводствоПсихологияРелигияСоциологияСпортТехникаФизикаФилософияХимияЭкологияЭкономикаЭлектроника






Правая и левая эллиптические поляризации





Двигаясь по эллипсу в плоскости z = const, конец вектора может вращаться по часовой или против часовой стрелки. Для того чтобы различить эти два состояния, в оптике вводят понятия правой поляризации (для наблюдателя, смотрящего навстречу световому лучу, вращение происходит по часовой стрелке) и левой поляризации (вращение вектора в противоположном направлении). Покажем, что направление вращения вектора зависит от знака разности фаз d. Выберем момент времени t 0, для которого wt 0kz = 0. В этот момент, согласно формулам и, , .Так что . Из формулы видно, что в тот момент, когда конец вектора достигает крайней правой точки своей траектории (рис. 1.8), имеем dEy / dt < 0, если 0 < d < p, и dEy / dt > 0, если – p < d < 0. Очевидно, что первый из этих случаев соответствует право поляризованной волне, а второй — лево поляризованной.

Итак, в общем случае плоская монохроматическая волна имеет правую или левую эллиптическую поляризацию. Полная характеристика эллипса поляризации дается тремя параметрами E 10, E 20 и d. И, как видно из рис. 1.8, оси эллипса могут быть не параллельны осям Ox и Oy. Однако если заданы E 10, E 20 и разность фаз d, относящиеся к произвольному положению осей, и если a (0 < a £ p /2) — угол, определяемый соотношением , то главные полуоси эллипса a и b и угол y (0 < y £ p /2), который большая ось образует с осью Ox, находятся из формул ,

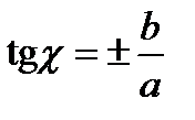
где c (- p /4 £ c £ p /4) – вспомогательный угол, определяющий форму и ориентацию эллипса колебаний, а именно: .

Численное значение tg c определяет величину отношения осей эллипса, а знак при c характеризует два варианта, которые можно использовать при описании эллипса. Из последней формулы видно, что при правой эллиптической поляризации, когда sin d > 0, то угол c меняется в пределах 0 < c £ p /4, что соответствует знаку "+" в формуле. Соответственно для левой поляризации - знак "–".

Параметры a, b и y можно определить на опыте, а, зная эти величины, по формулам можно рассчитать амплитуды E 10, E 20 и разность фаз d.

 







Date: 2015-08-06; view: 592; Нарушение авторских прав



mydocx.ru - 2015-2026 year. (1.567 sec.) Все материалы представленные на сайте исключительно с целью ознакомления читателями и не преследуют коммерческих целей или нарушение авторских прав - Пожаловаться на публикацию