Главная Случайная страница


Полезное:

Как сделать разговор полезным и приятным Как сделать объемную звезду своими руками Как сделать то, что делать не хочется? Как сделать погремушку Как сделать так чтобы женщины сами знакомились с вами Как сделать идею коммерческой Как сделать хорошую растяжку ног? Как сделать наш разум здоровым? Как сделать, чтобы люди обманывали меньше Вопрос 4. Как сделать так, чтобы вас уважали и ценили? Как сделать лучше себе и другим людям Как сделать свидание интересным?


Категории:

АрхитектураАстрономияБиологияГеографияГеологияИнформатикаИскусствоИсторияКулинарияКультураМаркетингМатематикаМедицинаМенеджментОхрана трудаПравоПроизводствоПсихологияРелигияСоциологияСпортТехникаФизикаФилософияХимияЭкологияЭкономикаЭлектроника






Линейная и круговая поляризации





Наиболее важны два частных случая, когда эллипс поляризации вырождается либо в прямую, либо в окружность.

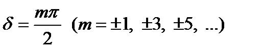
Согласно и эллипс переходит в прямую при .

Тогда , и мы говорим о линейной поляризации.

π
π/ 2
π/ 2
π/ 2
π/ 2
δ
δ
δ
δ
δ

На рис. 1.9, а показаны два возможных направления поляризации в плоско поляризованной волне, соответствующие d = 0 и d = p.
π
π
π
3 π/ 2
3 π/ 2
3 π/ 2
-π/ 2
δ
δ
δ
δ
δ

Р и с. 1.9

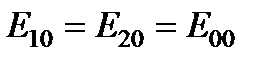
Другой важный случай - случай круговой поляризации волны, когда эллипс вырождается в круг. Необходимое условие этого вырождения заключается в превращении описанного прямоугольника в квадрат, т.е. амплитуды двух взаимно перпендикулярных компонент электрического поля должны быть равными .

Кроме того, одна из компонент должна равняться нулю, когда другая достигает максимального значения. Отсюда следует, согласно (1.37) и (1.38), что

и уравнение переходит в уравнение окружности .

В случае правой поляризации sin d > 0, так что

, , где .

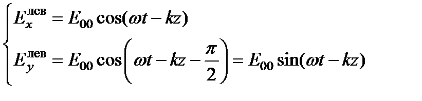
В случае левой поляризации sin d < 0, так что ,

, где .

Из формул и следует, что .

Это означает, что сумма право- и лево- поляризованных волн дает линейно поляризованную волну.

Если вместо вещественного представления воспользоваться комплексным, т.е. вместо косинусов в и использовать экспоненциальные функции и ,то .

Из этого отношения сразу же можно определить характер поляризации:

а) Линейная поляризация .

б) Правая круговая поляризация электрической волны

, .

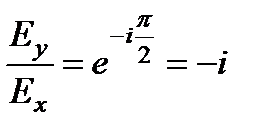
в) Левая круговая поляризация

, .

В более общем случае можно показать, что для правой эллиптической поляризации мнимая часть отношения Ey / Ex положительна, тогда как для левой эллиптической поляризации она отрицательна.

На рис. 1.9, б показана круговая поляризация, на рис. 1.9, в эллипсы поляризации при разных значениях d.







Date: 2015-08-06; view: 697; Нарушение авторских прав



mydocx.ru - 2015-2026 year. (0.738 sec.) Все материалы представленные на сайте исключительно с целью ознакомления читателями и не преследуют коммерческих целей или нарушение авторских прав - Пожаловаться на публикацию