Главная Случайная страница


Полезное:

Как сделать разговор полезным и приятным Как сделать объемную звезду своими руками Как сделать то, что делать не хочется? Как сделать погремушку Как сделать так чтобы женщины сами знакомились с вами Как сделать идею коммерческой Как сделать хорошую растяжку ног? Как сделать наш разум здоровым? Как сделать, чтобы люди обманывали меньше Вопрос 4. Как сделать так, чтобы вас уважали и ценили? Как сделать лучше себе и другим людям Как сделать свидание интересным?


Категории:

АрхитектураАстрономияБиологияГеографияГеологияИнформатикаИскусствоИсторияКулинарияКультураМаркетингМатематикаМедицинаМенеджментОхрана трудаПравоПроизводствоПсихологияРелигияСоциологияСпортТехникаФизикаФилософияХимияЭкологияЭкономикаЭлектроника






Определение геометрических параметров киля





Геометрические характеристики агрегата
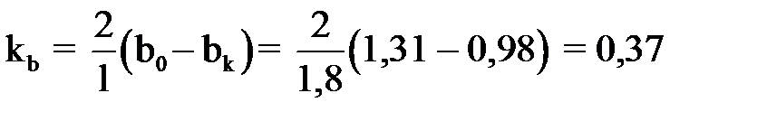
Высота киля L = 1,8 м
Корневая хорда b0 = 1,31 м
Концевая хорда bk = 0,98 м
Площадь киля SK = 2,24 м2
Угол стреловидности киля по передней кромке = 42о
Угол стреловидности киля по линии ¼ хорд = 38о
Удлинение киля λ = 1,48
Сужение киля η = 1,34
Относительная толщина профиля киля = 0,12
Относительные высоты лонжеронов 0,11; 0,11
Относительная координата оси жесткости

 

Взлетный вес самолета: G = 5663 кг;

Крейсерская скорость полета: V = 720 км/ч;

Площадь вертикального оперения в плане: Sвo = 3,18 м2;

Площадь киля в плане: SK = 2,24 м2;

Площадь руля направления в плане: S= 0,94 м2;

Угол стреловидности киля по передней кромке: χ° = 48°;

Высота киля: l = 1,8 м;

Хорда концевого сечения киля: bк = 0,98 м;

Хорда киля по оси самолета: b0 = 1,31 м;

Хорда концевого сечения ВО: bк = 1,42 м;

Хорда ВО по оси самолета: b0 = 1,98 м.

 

Относительная толщина профиля киля: с = 12% = 0,12.

 

Удлинение киля определяется по формуле:

 

Сужение киля определяется по формуле:

 

Хорда произвольного сечения киля определяется по формуле:

 

где: b – хорда произвольного сечения киля, м;

z – координата произвольного сечения в направлении размаха киля, м.

Ось Оу, вдоль которой измеряются координаты произвольного сечения киля, направлена с концу консоли. Отсчет координат у производится от плоскости крепления киля с фюзеляжем. Коэффициент пропорциональности kb определяется по формуле:

 

 

Определение относительных координат профиля сечения киля производится пересчетом по заданной относительной толщине с относительных координат эталонного профиля.

Контур эталонного профиля задается относительными координатами х, yв, yн:

х – относительная координата точки контура профиля по оси х;

ув – относительная координата точки верхней поверхности контура профиля по оси у;

ун – относительная координата точки нижней поверхности контура профиля по оси у.

 

Абсолютные значения координат точек контура профиля сечения киля определяются по формулам:

 

 

где x – абсолютная координата точки контура профиля по оси x, м;

ув – абсолютная координата точки верхней поверхности контура профиля по оси г, м;

ун – абсолютная координата точки нижней поверхности контура профиля по оси z, м.

 

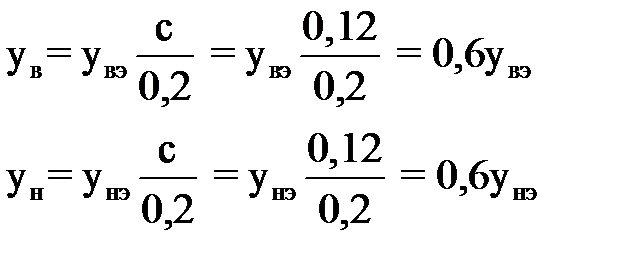
Пересчет относительных координат точек контура с эталонного на заданный профиль про­изводится по формулам:

 

 

где ув – относительная координата точки верхней поверхности контура заданного профиля по оси у;

ун – относительная координата точки нижней поверхности контура заданного профиля по оси у;

увэ – относительная координата точки верхней поверхности контура эталонного профиля по оси у;

унэ – относительная координата точки нижней поверхности контура эталонного профиля по оси у;

с – относительная толщина заданного профиля сечения киля.

Относительные координаты лонжеронов по оси X выбираются в пределах:

– передний лонжерон хпл = 0,18

– задний лонжерон хзл = 0,60

Относительная координата оси жесткости киля по оси X определяется по формуле:

 

хож – относительная координата оси жесткости киля, по оси х,

хпл – относительная координата переднего лонжерона киля по оси х,

хзл – относительная координата заднего лонжерона киля по оси х,

Hпл = 0,11 – относительная высота переднего лонжерона,

Нзл = 0,11 – относительная высота заднего лонжерона.

= 33°

 

Рисунок 9.1 Относительные координаты по сечению киля







Date: 2015-07-27; view: 3282; Нарушение авторских прав



mydocx.ru - 2015-2026 year. (0.599 sec.) Все материалы представленные на сайте исключительно с целью ознакомления читателями и не преследуют коммерческих целей или нарушение авторских прав - Пожаловаться на публикацию