Главная Случайная страница


Полезное:

Как сделать разговор полезным и приятным Как сделать объемную звезду своими руками Как сделать то, что делать не хочется? Как сделать погремушку Как сделать так чтобы женщины сами знакомились с вами Как сделать идею коммерческой Как сделать хорошую растяжку ног? Как сделать наш разум здоровым? Как сделать, чтобы люди обманывали меньше Вопрос 4. Как сделать так, чтобы вас уважали и ценили? Как сделать лучше себе и другим людям Как сделать свидание интересным?


Категории:

АрхитектураАстрономияБиологияГеографияГеологияИнформатикаИскусствоИсторияКулинарияКультураМаркетингМатематикаМедицинаМенеджментОхрана трудаПравоПроизводствоПсихологияРелигияСоциологияСпортТехникаФизикаФилософияХимияЭкологияЭкономикаЭлектроника






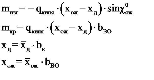
Расчет погонных изгибающих и крутящих моментов





хож = 0,39 – относительная координата оси жесткости в сечении киля по оси

хд = 0,59 – относительная координата центра давления сечения киля. Принимаем, что хд располагается на половине хорды киля.

χож = 33° – угол стреловидности киля по оси жесткости.

Значения погонного крутящего момента сводим в таблицу.

 

у, м bкиля, м bво, м qкиля, кг/м Хд= Хдbк Хож = Хожbво Хож –Хд mизг, кг mкр, кг  
 
  1,31 1,98   0,779 0,772 -0,02 24,19 -87,88  
0,25 1,29 1,92   0,768 0,749 -0,02 23,09 -81,35  
0,86 1,15 1,69   0,684 0,659 -0,02 21,66 -67,17  
1,46 1,03 1,5   0,613 0,585 -0,02 21,11 -58,11  
1,8 0,98 1,42   0,583 0,554 -0,03 20,54 -53,51  

 

Построение эпюры изгибающих моментов

Изгибающие моменты в сечениях киля определяются следующим образом:

 

Функция D(y) определяется по формуле:

 

Интеграл определяется численным интегрированием методом трапеций, в соответствии с которым он приводится к виду:

 

Величина ΔМизгi определяется по формуле:

 

Значения изгибающих моментов сводим в таблицу.

Y, м Δу, м Qp , кг mИЗГ, кг D(у), кг ΔMизгi , кг·м МPизг , кг·м
    4544,6 24,19 5410,2 5434,4   4656,5
  0,25            
0,25   4070,7 23,09 4846,1 4869,2   3368,5
0,25   3541,7 23,09 4216,3 4239,4   3368,5
  0,61         2183,6  
0,86   2434,5 21,66 2898,2 2919,9   1184,9
0,86   1983,5 21,66 2361,3     1184,9
  0,6         1075,1  
1,46   990,8 21,11 1179,5 1200,6   109,8
1,46   507,8 21,11 604,5 625,6   109,8
  0,34         109,8  
1,8     20,54   20,54    

 







Date: 2015-07-27; view: 1323; Нарушение авторских прав



mydocx.ru - 2015-2026 year. (0.495 sec.) Все материалы представленные на сайте исключительно с целью ознакомления читателями и не преследуют коммерческих целей или нарушение авторских прав - Пожаловаться на публикацию