Главная Случайная страница


Полезное:

Как сделать разговор полезным и приятным Как сделать объемную звезду своими руками Как сделать то, что делать не хочется? Как сделать погремушку Как сделать так чтобы женщины сами знакомились с вами Как сделать идею коммерческой Как сделать хорошую растяжку ног? Как сделать наш разум здоровым? Как сделать, чтобы люди обманывали меньше Вопрос 4. Как сделать так, чтобы вас уважали и ценили? Как сделать лучше себе и другим людям Как сделать свидание интересным?


Категории:

АрхитектураАстрономияБиологияГеографияГеологияИнформатикаИскусствоИсторияКулинарияКультураМаркетингМатематикаМедицинаМенеджментОхрана трудаПравоПроизводствоПсихологияРелигияСоциологияСпортТехникаФизикаФилософияХимияЭкологияЭкономикаЭлектроника






Теорема сложения ускорений





Предварительно получим общие выражения для относительного и переносного ускорений.

Относительное ускорение характеризует скорость изменения относительной скорости по отношению к подвижной системе координат. Следовательно, оно выражается локальной производной по времени от относительной скорости точки:

Переносное ускорение, в соответствии с его определением и смыслом, выразится так:

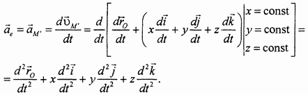
Абсолютное ускорение точки характеризует скорость изменения абсолютной скорости по отношению к неподвижным осям и поэтому будет равно

Производные вычисляются по отношению к неподвижным осям, поэтому при дифференцировании выражений для и будут переменными как координаты х, у, z, так и орты . Выполнив дифференцирование, с учетом полученных выше выражений для переносного и относительного ускорений можем записать:

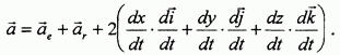
Видно, что абсолютное ускорение складывается из переносного и относительного ускорений и из дополнительного слагаемого, которое получило название ускорения Кориолиса (кориолисова ускорения). После некоторых преобразований, которые здесь не приводятся, ускорение Кориолиса представляется в виде следующего выражения:

где - вектор переносной угловой скорости, - вектор относительной линейной скорости точки.

Таким образом, приходим к теореме сложения ускорений, которую можно записать в виде следующих двух векторных равенств:

Словесная формулировка теоремы такова: абсолютное ускорение при сложном движении точки равно геометрической сумме ее относительного, переносного и кориолисова ускорений. Ускорение Кориолиса равно удвоенному векторному произведению вектора переносной угловой скорости на вектор относительной линейной скорости точки.







Date: 2015-07-27; view: 382; Нарушение авторских прав



mydocx.ru - 2015-2026 year. (0.758 sec.) Все материалы представленные на сайте исключительно с целью ознакомления читателями и не преследуют коммерческих целей или нарушение авторских прав - Пожаловаться на публикацию