Главная Случайная страница


Полезное:

Как сделать разговор полезным и приятным Как сделать объемную звезду своими руками Как сделать то, что делать не хочется? Как сделать погремушку Как сделать так чтобы женщины сами знакомились с вами Как сделать идею коммерческой Как сделать хорошую растяжку ног? Как сделать наш разум здоровым? Как сделать, чтобы люди обманывали меньше Вопрос 4. Как сделать так, чтобы вас уважали и ценили? Как сделать лучше себе и другим людям Как сделать свидание интересным?


Категории:

АрхитектураАстрономияБиологияГеографияГеологияИнформатикаИскусствоИсторияКулинарияКультураМаркетингМатематикаМедицинаМенеджментОхрана трудаПравоПроизводствоПсихологияРелигияСоциологияСпортТехникаФизикаФилософияХимияЭкологияЭкономикаЭлектроника






Определение ускорений точек тела





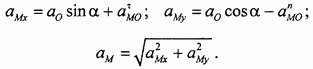
Формулу для определения ускорений при плоскопараллельном движении получим, дифференцируя по времени выражение для скорости произвольной точки М тела:

Смысл отдельных слагаемых в полученном равенстве вполне очевиден: - ускорение полюса О; -касательное ускорение во вращательном движении точки М вместе с плоской фигурой вокруг полюса О; нормальное ускорение во вращательном движении этой точки М вместе с плоской фигурой вокруг полюса О. Модули и направления ускорений , находятся как при простом вращательном движении вокруг центра О.

Используя введенные обозначения, приходим к следующей формуле для определения ускорений:

Одновременно получено правило для определения ускорений при плоскопараллельном движении методом полюса - ускорение любой точки тоской фигуры равно геометрической сумме ускорения произвольно выбранного полюса и касательного и нормального ускорений во вращательном движении этой точки вместе с плоской фигурой вокруг выбранного полюса.

На рис. 108 показаны направления составляющих и векторный многоугольник ускорений, определяющийускорение точки М согласно данному способу.

Рис. 108.

Модуль ускорения удобно находить методом проекций. Выбрав координатные оси Мху (например, так, как это принято на рис. 108) и проектируя векторную формулу для на эти оси, последовательно находим:

Пример.

В механизме эллипсографа (рис. 109) скорость и ускорение ползуна А направлены к точке О и имеют значения . Найти ускорение ползуна В, если , а угол составляет в этот момент 30°.

Рис. 109.

Примем точку А за полюс, тогда для ускорения точки В можно записать:

Это - векторное уравнение для определения ускорения точки В, которое можно решать геометрически или аналитически.

Воспользуемся аналитическим способом решения. Для этого, прежде всего, изображаем при точке В все составляющие ускорения (рис. 109, а). Ускорение известно по величине и направлению; ускорение - только по направлению (от точки В к полюсу А); ускорения и , известные только по своим линиям действия, направляем вдоль этих линий в ту или иную сторону (точное направление станет известно в ходе решения задачи).

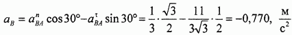
Как ранее упоминалось, векторное уравнение на плоскости эквивалентно двум скалярным уравнениям, которые получим, проектируя векторное уравнение на подходящим образом выбранные координатные оси. Проектируя обе части векторного уравнения ускорений на оси (рис. 109, а), получаем:

В полученной системе двух уравнений содержатся три неизвестные: , , поэтому одну из них требуется предварительно определить. Обычно удается найти величину . Для этого строим мгновенный центр скоростей P звена АВ, после чего находим угловую скорость:

Направление угловой скорости показано круговой стрелкой (определяется по направлению скорости ).

Теперь не представляет труда вычисление :

Зная , решаем полученную систему. Из второго уравнения сразу находим

Положительный знак величины указывает, что принятое направление вектора совпадает с его истинным направлением.

По найденному ускорению определяем величину и направление углового ускорения звена АВ. Величина углового ускорения равна

направление показано на рисунке круговой стрелкой.

Подставляя значение в первое уравнение, вычисляем ускорение ползуна В:

Отрицательный знак величины указывает на то, что вектор имеет направление, противоположное принятому.

Примечание. Установив отрицательный знак величины (или алгебраического значения какого-либо другого неизвестного вектора) не следует потом изменять его направление и переделывать расчеты. Ведь истинное направление вектора и его модуль стали известны!

Этим решение поставленной задачи заканчивается.

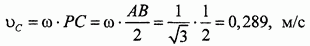
Заметим, что теперь мы располагаем данными, позволяющими определить скорость и ускорение любой точки стержня АВ. Дополнительно найдем, например, скорость и ускорение его средней точки (точки С).

Скорость наиболее просто определяется при помощи мгновенного центра скоростей. Применяя соответствующее правило, получаем, что скорость равна по модулю

и направлена перпендикулярно к мгновенному радиусу PC в сторону угловой скорости (рис. 109, б).

Для определения ускорения воспользуемся формулой

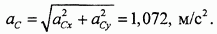
Направления слагаемых векторов показаны на рис. 109, б, модули ускорений легко могут быть вычислены, так как и , и теперь известны:

Проектируя векторное уравнение для на оси , находим проекции искомого ускорения

а далее и численное значение ускорения


В некоторых задачах на плоскопараллельное движение угловое ускорение тела может быть вычислено непосредственно по формуле , определяющей понятие углового ускорения. Например, так обстоит дело в случае с колесом, катящимся без скольжения со скоростью центра и ускорением центра (рис. 110). колеса находится в точке касания Р, поэтому для угловой скорости получим (R - радиус колеса):

Поскольку const, то угловое ускорение найдется прямым дифференцированием угловой скорости по времени:

Рис. 110.







Date: 2015-07-27; view: 464; Нарушение авторских прав



mydocx.ru - 2015-2026 year. (0.109 sec.) Все материалы представленные на сайте исключительно с целью ознакомления читателями и не преследуют коммерческих целей или нарушение авторских прав - Пожаловаться на публикацию