Главная Случайная страница


Полезное:

Как сделать разговор полезным и приятным Как сделать объемную звезду своими руками Как сделать то, что делать не хочется? Как сделать погремушку Как сделать так чтобы женщины сами знакомились с вами Как сделать идею коммерческой Как сделать хорошую растяжку ног? Как сделать наш разум здоровым? Как сделать, чтобы люди обманывали меньше Вопрос 4. Как сделать так, чтобы вас уважали и ценили? Как сделать лучше себе и другим людям Как сделать свидание интересным?


Категории:

АрхитектураАстрономияБиологияГеографияГеологияИнформатикаИскусствоИсторияКулинарияКультураМаркетингМатематикаМедицинаМенеджментОхрана трудаПравоПроизводствоПсихологияРелигияСоциологияСпортТехникаФизикаФилософияХимияЭкологияЭкономикаЭлектроника






Траектории, скорости и ускорения точек тела





Траектории точек тела при вращательном движении - это окружности с центрами на оси вращения, лежащие в плоскостях, перпендикулярных оси вращения. Радиусы окружностей (радиусы вращения) равны кратчайшим расстояниям точек до оси вращения (см. рис. 93).

Пусть М - произвольная точка тела, окружность радиуса ее траектория (рис. 94). Для длины s дуги , отсчитанной от точки пересечения с неподвижной полуплоскостью будет иметь:

Здесь угол является постоянным (как угол между двумя прямыми в абсолютно твердом теле), а угол изменяется с течением времени в соответствии с законом движения .

Рис. 94.

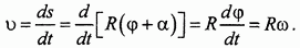
Написанное равенство при учете зависимости представляет собой закон движения точки М по траектории. Применяя правило определения скорости при естественном способе задания движения и учитывая, что , получаем

Таким образом, скорость (линейная) точки вращающегося тела равна по модулю произведению радиуса вращения на величину угловой скорости тела. Для направления скорости получаем следующее правило: скорость направлена перпендикулярно радиусу вращения (в плоскости траектории точки) в сторону вращения тела.

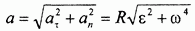
Продолжая и далее пользоваться естественным способом задания движения, для ускорения точки М получаем

где

Касательное ускорение направлено в одну сторону со скоростью и, если вращение тела ускоренное, и противоположно 0, если вращение замедленное. Нормальное ускорение , называемое также осестремительным ускорением, направлено по радиусу к оси вращения. Величина полного ускоренияопределяется по формуле:

Сказанное проиллюстрировано на рис. 94, где показан случай ускоренного вращения против часовой стрелки.







Date: 2015-07-27; view: 475; Нарушение авторских прав



mydocx.ru - 2015-2026 year. (0.535 sec.) Все материалы представленные на сайте исключительно с целью ознакомления читателями и не преследуют коммерческих целей или нарушение авторских прав - Пожаловаться на публикацию