Главная Случайная страница


Полезное:

Как сделать разговор полезным и приятным Как сделать объемную звезду своими руками Как сделать то, что делать не хочется? Как сделать погремушку Как сделать так чтобы женщины сами знакомились с вами Как сделать идею коммерческой Как сделать хорошую растяжку ног? Как сделать наш разум здоровым? Как сделать, чтобы люди обманывали меньше Вопрос 4. Как сделать так, чтобы вас уважали и ценили? Как сделать лучше себе и другим людям Как сделать свидание интересным?


Категории:

АрхитектураАстрономияБиологияГеографияГеологияИнформатикаИскусствоИсторияКулинарияКультураМаркетингМатематикаМедицинаМенеджментОхрана трудаПравоПроизводствоПсихологияРелигияСоциологияСпортТехникаФизикаФилософияХимияЭкологияЭкономикаЭлектроника






Переход к новому осуществляется в результате пересчета симплексной таблицы методом Жордана - Гаусса





Разделим все элементы ведущей строки предыдущей симплексной таблицы на ведущий элемент и результаты деления занесем в строку следующей симплексной таблицы. В результате этого на месте разрешающего элемента в следующей симплексной таблице запишем 1, а в остальных клетках j столбца, включая клетку столбца целевой функции, записываем нули.

 

Если в ведущем столбце есть нулевой коэффициент, то соответствующая ему строка переносится в следующую итерацию без изменений (строка 4 первой итерации) (см.табл.).

Кроме этого на втором шаге свободная переменная, соответствующая ведущему столбцу (x1), заменяет базисную переменную, соответствующую ведущей строке (x5) (см.табл.) вместе со своей оценкой.

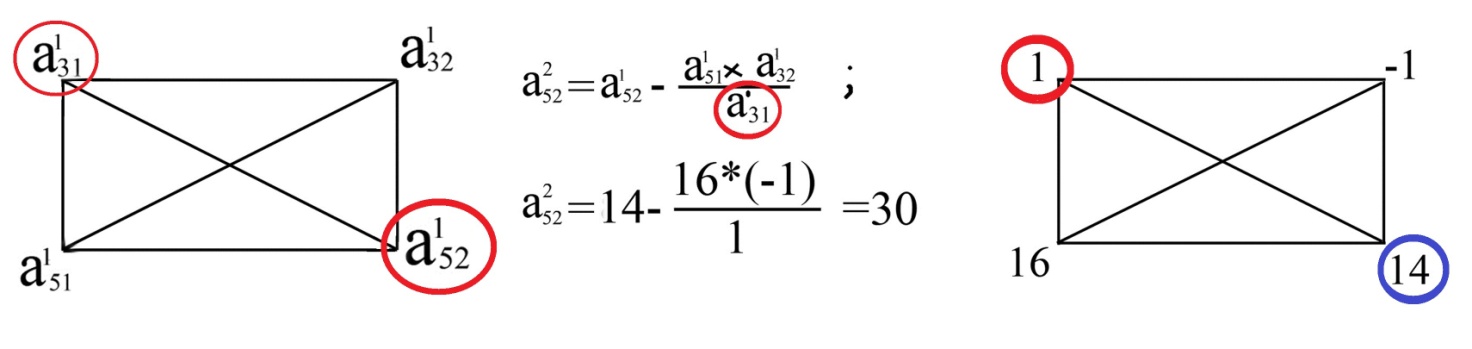
Остальные коэффициенты пересчитываются по правилу прямоугольника следующим образом. Для каждого преобразуемого коэффициента строится прямоугольник, две противоположных вершины которого образуют преобразуемый и ведущий коэффициент. Вычисления производятся так: новое значение преобразуемого коэффициента равно его старому значению минус произведение коэффициентов, стоящих на противоположной диагонали и деленные на ведущий коэффициент.

Например, нам необходимо найти новое значение коэффициента a152 =14 на втором шаге (см.табл.).

 

Прямоугольник для него будет:

 

Также находим значения всех коэффициентов на втором шаге (см.табл.).

 

 

Таким образом, на втором шаге (второй итерации) мы получили следующий план (см.табл.):

- выпускается 100 кг сливочного мороженого (x1=100); шоколадное не выпускается (x2=0);

- избыток наполнителя составляет 325 кг (x4=325);

- спрос на сливочное мороженое удовлетворяется полностью (уравнение 3 системы 3.6 (x1-x2=100; 100-0=100, т.е. x5=0);

- избыток спроса на шоколадное мороженое составляет 350 кг (x6=350);

- доход составляет 1600 руб.

Далее возвращаемся к этапу 3 и проверяем полученный план на оптимальность. Из строки целевой функции видно, что она содержит положительный коэффициент c 52 = 30 (см.табл.), т.е. план не оптимальный и его можно улучшить путем введения в план выпуск шоколадного мороженого (x2), так как любое значение x2>0 увеличивает значение целевой функции.

Выполняя последовательно этапа 3-5, получаем окончательную симплексную таблицу

 

В этой таблице все коэффициенты в строке целевой функции отрицательные или равные нулю, т.е. полученный план оптимален, т.е. нет ни одной переменной, введение которой в план увеличилось бы значение целевой функции в 9200 руб.

Оптимальное решение:

x1=312,5; x2=300; x3=x4 =0; x5= 87,5 x6 =312,5; F(x)=9200.







Date: 2015-07-27; view: 1078; Нарушение авторских прав



mydocx.ru - 2015-2026 year. (1.177 sec.) Все материалы представленные на сайте исключительно с целью ознакомления читателями и не преследуют коммерческих целей или нарушение авторских прав - Пожаловаться на публикацию