Главная Случайная страница


Полезное:

Как сделать разговор полезным и приятным Как сделать объемную звезду своими руками Как сделать то, что делать не хочется? Как сделать погремушку Как сделать так чтобы женщины сами знакомились с вами Как сделать идею коммерческой Как сделать хорошую растяжку ног? Как сделать наш разум здоровым? Как сделать, чтобы люди обманывали меньше Вопрос 4. Как сделать так, чтобы вас уважали и ценили? Как сделать лучше себе и другим людям Как сделать свидание интересным?


Категории:

АрхитектураАстрономияБиологияГеографияГеологияИнформатикаИскусствоИсторияКулинарияКультураМаркетингМатематикаМедицинаМенеджментОхрана трудаПравоПроизводствоПсихологияРелигияСоциологияСпортТехникаФизикаФилософияХимияЭкологияЭкономикаЭлектроника






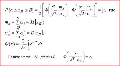
Применение центральной предельной теоремы георни вероятности при оценке эффективности стрельбы по групповой цели





Определение эффективности стрельбы по групповой цели без переноса огня аналитическим методом с использованием комбинаторных формул.

29. Определение эффективности стрельбы по групповой цели без переноса огня с применением рекуррентных зависимостей.

Определение эффективности стрельбы по групповой цели с переносом огня аналитическим методом с использованием комбинаторных формул.

   

 



 

Определение эффективности стрельбы по групповой цели с переносом огня с применением рекуррентных зависимостей.

 

Определение эффективности стрельбы по групповой цели с переносом огня методом статистических испытаний.

 

34. Оценка эффективности стрельбы по компактной цели: 1) с применением комбинаторных формул; 2) с применением рекуррентных зависимостей; 3) решение задачи методом статистических испытаний.

   
   
  

 







Date: 2015-07-27; view: 896; Нарушение авторских прав



mydocx.ru - 2015-2026 year. (0.755 sec.) Все материалы представленные на сайте исключительно с целью ознакомления читателями и не преследуют коммерческих целей или нарушение авторских прав - Пожаловаться на публикацию