Главная Случайная страница


Полезное:

Как сделать разговор полезным и приятным Как сделать объемную звезду своими руками Как сделать то, что делать не хочется? Как сделать погремушку Как сделать так чтобы женщины сами знакомились с вами Как сделать идею коммерческой Как сделать хорошую растяжку ног? Как сделать наш разум здоровым? Как сделать, чтобы люди обманывали меньше Вопрос 4. Как сделать так, чтобы вас уважали и ценили? Как сделать лучше себе и другим людям Как сделать свидание интересным?


Категории:

АрхитектураАстрономияБиологияГеографияГеологияИнформатикаИскусствоИсторияКулинарияКультураМаркетингМатематикаМедицинаМенеджментОхрана трудаПравоПроизводствоПсихологияРелигияСоциологияСпортТехникаФизикаФилософияХимияЭкологияЭкономикаЭлектроника






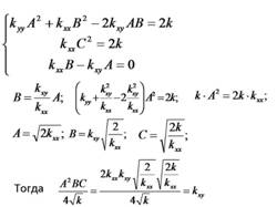
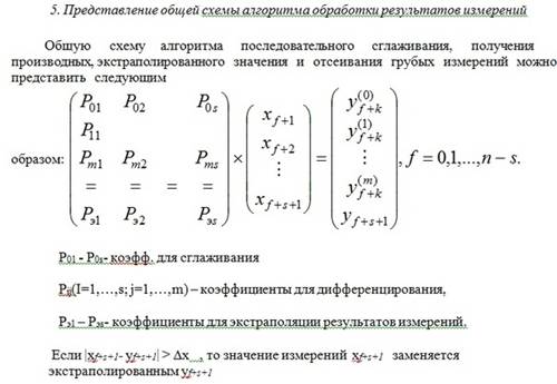
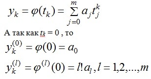
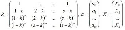
Определение параметров сглаживающей функции





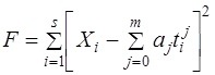
Исходя из метода наименьших квадратов,требуется найти значения параметров aj (j= 0,..., m),при которых функция
 была бы минимальной. Значениякоэффициентов аj определяются из системы линейных уравнений:


Задаваяськонкретными s, k, m, Dt, Xi можно получить врезультате решений линейной системы уравнений (1) параметры aj (j = 0,1,.., т), которыемогут быть использованы для нахождения значений сглаживающей функции и производнойсглаживающей функции в момент времени tk.

 



  

Закон рассеивания снарядов. Параметры закона рассеивания. Главные оси рассеивания. Закон рассеивания для ударных снарядов и снарядов с неконтактным взрывателем. Схема двух групп ошибок.

Порядок страниц: 1 2 3 4 5 6 и т. д.

    
     
     
     
     
     
     
    






Date: 2015-07-27; view: 887; Нарушение авторских прав



mydocx.ru - 2015-2026 year. (0.759 sec.) Все материалы представленные на сайте исключительно с целью ознакомления читателями и не преследуют коммерческих целей или нарушение авторских прав - Пожаловаться на публикацию