Главная Случайная страница


Полезное:

Как сделать разговор полезным и приятным Как сделать объемную звезду своими руками Как сделать то, что делать не хочется? Как сделать погремушку Как сделать так чтобы женщины сами знакомились с вами Как сделать идею коммерческой Как сделать хорошую растяжку ног? Как сделать наш разум здоровым? Как сделать, чтобы люди обманывали меньше Вопрос 4. Как сделать так, чтобы вас уважали и ценили? Как сделать лучше себе и другим людям Как сделать свидание интересным?


Категории:

АрхитектураАстрономияБиологияГеографияГеологияИнформатикаИскусствоИсторияКулинарияКультураМаркетингМатематикаМедицинаМенеджментОхрана трудаПравоПроизводствоПсихологияРелигияСоциологияСпортТехникаФизикаФилософияХимияЭкологияЭкономикаЭлектроника






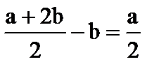
I. Устные упражнения. 1. При каком значении буквы верно равенство?





1. При каком значении буквы верно равенство?

b + 18 = 18

2. Игра «математический феномен». Выходит Гарри Поттер. Гарри Поттер предлагает ученикам: задумать число, которое делится на 2, прибавить к нему другое число, умноженное на 2, найденную сумму разделить на 2, из частного вычесть число, которое умножили на 2.

Ученики называют полученное число, а Гарри называет задуманное им число (результат всегда в 2 раза меньше задуманного числа).

Ключ к разгадке: .

II. Работа по теме урока.

1. Устно: 427 (научить учащихся, как устно умножить на 25); 426 (б, г, д), 429, 430.

2. Письменно № 412 (и, л, м).

III. Самостоятельная работа по вариантам.

Вариант I Вариант II
1) Найдите значение выражения:
а) 11346 – 87 × 78 б) 704 × 37 +63 а) 12308 – 96 × 64 б) 68 × 803 + 567
2) Решите задачу.
В двух комнатах пол был выложен плиткой. В одной комнате плитка была уложена в 43 ряда, по 34 штуки в каждом ряду, а в другой – в 36 На первом станке изготовляли в час 28 деталей, а на втором – 35 таких деталей. Сколько всего деталей будет изготовлено за 17 часов ра-
рядов, по 28 штук в каждом ряду. Сколько всего плиток потребовалось на пол в этих двух комнатах? 3) Может ли при каком-нибудь значении у быть верным равенство 2 + у = 5 + у? боты первого станка и за 15 часов работы второго? 3) Может ли при каком-нибудь значении х быть верным равенство х – 3 = 3 – х?

IV. Домашнее задание: п. 11; № 456, 460, 449. Заполнить таблицу.

b а      
         
         
     
         

Четверть

Урок № 44

Деление (п. 12)

Цели: научить формулировать ответ на вопрос: «Какое действие называется делением?», повторить, как называются числа при делении, выработать навык деления натуральных чисел.

Оборудование: на доске записать план изучения новой темы.

Ход урока







Date: 2015-07-27; view: 798; Нарушение авторских прав



mydocx.ru - 2015-2026 year. (0.606 sec.) Все материалы представленные на сайте исключительно с целью ознакомления читателями и не преследуют коммерческих целей или нарушение авторских прав - Пожаловаться на публикацию