Главная Случайная страница


Полезное:

Как сделать разговор полезным и приятным Как сделать объемную звезду своими руками Как сделать то, что делать не хочется? Как сделать погремушку Как сделать так чтобы женщины сами знакомились с вами Как сделать идею коммерческой Как сделать хорошую растяжку ног? Как сделать наш разум здоровым? Как сделать, чтобы люди обманывали меньше Вопрос 4. Как сделать так, чтобы вас уважали и ценили? Как сделать лучше себе и другим людям Как сделать свидание интересным?


Категории:

АрхитектураАстрономияБиологияГеографияГеологияИнформатикаИскусствоИсторияКулинарияКультураМаркетингМатематикаМедицинаМенеджментОхрана трудаПравоПроизводствоПсихологияРелигияСоциологияСпортТехникаФизикаФилософияХимияЭкологияЭкономикаЭлектроника






Интерполяция функции полиномами Ньютона





Интерполяционный многочлен для метода разделенных разностей имеет вид

Коэффициенты Аi определяются из условия Лагранжа следующим образом: При

Блок-схема алгоритма вычисления коэффициентов полинома Ньютона.

 

При программной реализации полином Ньютона удобнее вычислять по формуле Горнера

Блок-схема алгоритма вычисления коэффициентов полинома по схеме Горнера

 

Интерполяция функции кубическими сплайнами

В отличие от полиномиальной интерполяции, когда вся аппроксимируемая зависимость описывается одним полиномом, при сплайновой интерполяции на каждом интервале строится отдельный полином третьей степени со своими коэффициентами.


 

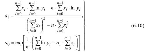
Методы обработки экспериментальных данных. Регрессионный анализ, линейная, полиномиальная, гиперболическая, экспоненциальная, степенная регрессии и регрессия общего вида.

 







Date: 2015-07-27; view: 4331; Нарушение авторских прав



mydocx.ru - 2015-2026 year. (0.504 sec.) Все материалы представленные на сайте исключительно с целью ознакомления читателями и не преследуют коммерческих целей или нарушение авторских прав - Пожаловаться на публикацию