Главная Случайная страница


Полезное:

Как сделать разговор полезным и приятным Как сделать объемную звезду своими руками Как сделать то, что делать не хочется? Как сделать погремушку Как сделать так чтобы женщины сами знакомились с вами Как сделать идею коммерческой Как сделать хорошую растяжку ног? Как сделать наш разум здоровым? Как сделать, чтобы люди обманывали меньше Вопрос 4. Как сделать так, чтобы вас уважали и ценили? Как сделать лучше себе и другим людям Как сделать свидание интересным?


Категории:

АрхитектураАстрономияБиологияГеографияГеологияИнформатикаИскусствоИсторияКулинарияКультураМаркетингМатематикаМедицинаМенеджментОхрана трудаПравоПроизводствоПсихологияРелигияСоциологияСпортТехникаФизикаФилософияХимияЭкологияЭкономикаЭлектроника






Метод дихотомии





Методы решения нелинейных уравнений. Суть метода дихотомии, метода Ньютона, метода секущих, их преимущества и недостатки.

 

Приближенные значения корней уточняют различными итерационными методами, наиболее эффективными из которых являются метод дихотомии, метод Ньютона, метод секущих.

Метод дихотомии

Во многих научных и инженерных задачах возникает необходимость решения уравнений вида (1)

где f – заданная функция;

x – неизвестная переменная;

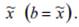
Считаем, что в уравнении (1) отделение корней проведено и на отрезке [a,b] расположен только один корень (рис. 1.1.).

Рисунок 1.1. Метод дихотомии

 

Суть метода дихотомии заключается в следующем:

Делят интервал [a,b] пополам и находят

Корень будет находиться в той половине отрезка, на концах которой функция f (x) имеет разные знаки (в нашем случае это интервал

Следовательно, для следующего шага уточнения корня точку b нужно переместить в середину отрезка, т.е. положить , и продолжить процесс до тех пор, пока не будет выполняться условие

 

Алгоритм метода дихотомии состоит из

следующих этапов:

1. Ввод интервала [a,b], требуемой погрешности вычисления корня ε, полосы шума 1.

2. Нахождение средней точки интервала:

3. Проверка условия и прекращение итерационного процесса (переход к п. 8) в случае его выполнения.

4. Определение знака функции f(x) в средней точке и в точке их сравнение.

5. В случае совпадения знаков перенос точки a в точку , в противном случае перенос точки b в точку

6. Проверка условия и прекращение итерационного процесса (переход к п. 8) в случае его выполнения.

7. В противном случае возвращение к п. 2 и продолжение вычислений.

8. Вывод уточненного значения корня

Преимуществами метода дихотомии являются его простота, надежность, сходимость к простому корню для любых, в т.ч. недифференцируемых функций. К его недостаткам следует отнести относительно невысокую скорость сходимости и необходимость предварительного определения интервала, на котором функция меняет знак. Метод применяется главным образом в тех случаях, когда требуется высокая надежность счета, а скорость сходимости малосущественна.







Date: 2015-07-27; view: 3963; Нарушение авторских прав



mydocx.ru - 2015-2026 year. (1.058 sec.) Все материалы представленные на сайте исключительно с целью ознакомления читателями и не преследуют коммерческих целей или нарушение авторских прав - Пожаловаться на публикацию