Главная Случайная страница


Полезное:

Как сделать разговор полезным и приятным Как сделать объемную звезду своими руками Как сделать то, что делать не хочется? Как сделать погремушку Как сделать так чтобы женщины сами знакомились с вами Как сделать идею коммерческой Как сделать хорошую растяжку ног? Как сделать наш разум здоровым? Как сделать, чтобы люди обманывали меньше Вопрос 4. Как сделать так, чтобы вас уважали и ценили? Как сделать лучше себе и другим людям Как сделать свидание интересным?


Категории:

АрхитектураАстрономияБиологияГеографияГеологияИнформатикаИскусствоИсторияКулинарияКультураМаркетингМатематикаМедицинаМенеджментОхрана трудаПравоПроизводствоПсихологияРелигияСоциологияСпортТехникаФизикаФилософияХимияЭкологияЭкономикаЭлектроника






Методы прямоугольников





Заменим подынтегральную функцию на интервале интегрирования полиномом нулевой степени, т.е. константой. Различают метод левых, правых и средних прямоугольников.

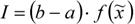
Наименьшую погрешность имеет метод средних прямоугольников, для которого приближенное определение интеграла определяется выражением

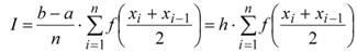
Для повышения точности вычислений интервал [a,b], разбивают на п частей (рис. 3.2), и тогда формула средних прямоугольников приобретает вид:

или в случае равномерного разбиения

где h - шаг расчета.

С увеличением количества разбиений п погрешность будет уменьшаться за счет более точной аппроксимации f(x). Однако при этом будет возрастать погрешность, накапливаемая за счет суммирования значений интеграла, и, начиная с некоторого n, она становится преобладающей. Это обстоятельство необходимо учитывать при выборе числа разбиений интервала интегрирования.

Главный член погрешности метода средних прямоугольников определяется выражением:

Степень шага h называют порядком метода, т.е. метод средних прямоугольников имеет второй порядок.

 







Date: 2015-07-27; view: 1494; Нарушение авторских прав



mydocx.ru - 2015-2026 year. (1.599 sec.) Все материалы представленные на сайте исключительно с целью ознакомления читателями и не преследуют коммерческих целей или нарушение авторских прав - Пожаловаться на публикацию