Главная Случайная страница


Полезное:

Как сделать разговор полезным и приятным Как сделать объемную звезду своими руками Как сделать то, что делать не хочется? Как сделать погремушку Как сделать так чтобы женщины сами знакомились с вами Как сделать идею коммерческой Как сделать хорошую растяжку ног? Как сделать наш разум здоровым? Как сделать, чтобы люди обманывали меньше Вопрос 4. Как сделать так, чтобы вас уважали и ценили? Как сделать лучше себе и другим людям Как сделать свидание интересным?


Категории:

АрхитектураАстрономияБиологияГеографияГеологияИнформатикаИскусствоИсторияКулинарияКультураМаркетингМатематикаМедицинаМенеджментОхрана трудаПравоПроизводствоПсихологияРелигияСоциологияСпортТехникаФизикаФилософияХимияЭкологияЭкономикаЭлектроника






II ЧАСТЬ. 1.Источником неустранимых погрешностей является:





 

 

1.Источником неустранимых погрешностей является:

1. Исходные данные

2. Математическая модель

3. Численный метод

4. Округления

 

2.Задача, в которой малые погрешности в исходной величине приводят к малым погрешностям в результате расчетов называется:

1. Чувствительной

2. Устойчивой

3. Корректной

4. Правильной

 

3.Численный метод называется …. в случае существования и единственности численного решения при любых значениях исходных данных, а также в случае устойчивости этого решения относительно погрешностей исходных данных.

1. Корректным

2. Аппроксимирующим

3. Интегрируемым

 

4.Погрешность численного метода

1. Регулируема

2. Не регулируема

5.… погрешность некоторого числа равна разности между его истинным значением и приближенным

1. Абсолютная

2. Относительная

6.Пусть дана последовательность x1 x2 … xn, если при неограниченном возрастании числа итераций предел этой последовательности существует и равен a. В этом случае численный метод называется:

1. Расходящимся

2. Сходящимся

3. Неопределенным

4. Правильным

7.Если аппроксимация строится на заданном дискретном множестве точек (xi), то аппроксимация называется:

1. Прямой

2. Непрерывной

3. Точечной

4. Ограниченной

8.Пусть дана функция f(x). Если интерполяционные многочлены строятся отдельно для разных частей рассматриваемого интервала изменения х, то интерполяция в этом случае называется:

1. Правильная

2. Локальная

3. Дифференциальная

4. Нормальная

9.Для проведения линейной интерполяции необходимо

1. одна точка (узла)

2. две точки (узла)

3. три точки (узла)

10.… интерполяция состоит в том, что заданные точки соединяются прямолинейными отрезками и функция приближается ломаной с вершинами в данных точках.

1. Линейная

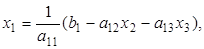
2. Квадратичная

3. Сплайнами

11.Для проведения квадратичной интерполяции необходимо

1. одна точка (узла)

2. две точки (узла)

3. три точки (узла)

12.Итерационный метод решения систем линейных уравнений

1. Гаусса-Зейделя

2. Ньютона-Лейбница

3. Симпсона

13.При интерполировании функции с помощью полинома Лагранжа график функции проходит через узлы интерполяции

1. да

2. нет

14.При использовании среднеквадратичного приближения график функции проходит через узлы интерполяции

1. да

2. нет

15.Количество интерполяционных полиномов Ньютона

1. один

2. два

3. три

16.Данная формула для аппроксимации производной с помощью

 

1. левых разностей

2. правых разностей

3. центральных разностей

17.Если дополнительные условия задаются в одной точке, то такая задача называется задачей...

1. Коши

2. краевой задачей

18.Дополнительные условия в задаче Коши называются …

1. начальными условиями

2. краевыми условиями

19.Если дополнительные условия задаются в более чем одной точке, т.е. при разных значениях независимой переменной, то такая задача называется:

1. Коши

2. краевой

20.Методы решения обыкновенных дифференциальных уравнений можно разбить на следующие группы:

1. графические, аналитические, приближенные и численные

2. трансцендентные, аналитические, приближенные и численные

21.Если в правой части уравнения отсутствует , то разностная схема называется …

1. явной

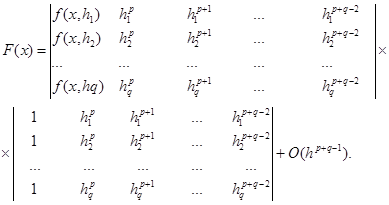
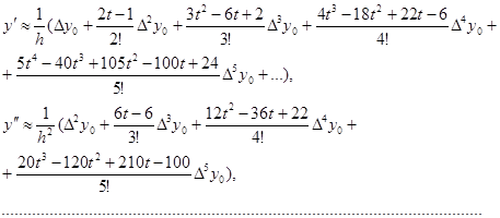
2. неявной

22.Численный метод называется …. в случае существования и единственности численного решения при любых значениях исходных данных, а также в случае устойчивости этого решения относительно погрешностей исходных данных.

1. Нет правильного ответа

2. Аппроксимирующим

3. Интегрируемым

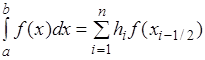
23.Пусть дана последовательность x1 x2 … xn, если при неограниченном возрастании числа итераций предел этой последовательности существует и равен a. В этом случае численный метод называется:

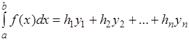
1. Расходящимся

2. Нет правильного ответа

3. Неопределенным

4. Правильным

24.Если аппроксимация строится на заданном дискретном множестве точек (xi), то аппроксимация называется:

1. Прямой

2. Непрерывной

3. Нет правильного ответа

4. Ограниченной

25.Пусть дана функция f(x). Если интерполяционные многочлены строятся отдельно для разных частей рассматриваемого интервала изменения х, то интерполяция в этом случае называется:

1. Правильная

2. Нет правильного ответа

3. Дифференциальная

4. Нормальная

26.Для проведения линейной интерполяции необходимо:

1. одна точка (узла)


2. нет правильного ответа

3. три точки (узла)

27.… интерполяция состоит в том, что заданные точки соединяются прямолинейными отрезками и функция приближается ломаной с вершинами в данных точках.

1. Нет правильного ответа

2. Квадратичная

3. Сплайнами

 

28.Данная формула для аппроксимации производной с помощью

1. левых разностей

2. правых разностей

3. центральных разностей

29.Возможно ли использование интерполяционных формул для численного дифференцирования

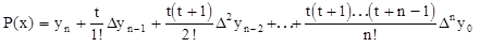
1. да

2. нет

30.С помощью метода неопределенных коэффициентов можно

1. дифференцировать функцию

2. интерполировать функцию

3. экстраполировать функцию

31.Уравнения, содержащие в себе тригонометрические, логарифмические и показательные функции называются:

1. Квадратные

2. Полные

3. Трансцендентные

4. Сложные

32.…это неоднократное повторение какого-либо вычислительного процесса называется.

1. Итерация

2. Интерполяция

3. Экстраполяция

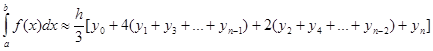
4. Задумка

33.…специальным образом построенные многочлены третьей степени, представляют собой некоторую математическую модель гибкого тонкого стержня:

1. проволочные функции

2. сплайн-функции

3. гибкие функции

34.Интерполяционный многочлен Лагранжа имеет вид:

1.

2.

3.

 

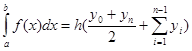
35.Какое количество интерполяционных многочленов возможно при заданном наборе узлов интерполяции:

1. 1

2. 2

3. 3

4. бесконечность

36.При построении многочлена Эрмита необходимо, чтобы в узлах хi совпадали с табличными данными не только его значения, но и их …

1. производные

2. интегралы

3. корни

4. квадраты

37.Формула для определения частной разности первого порядка по направлению x имеет вид:

1.

2.

 

38.Из всех задач оптимизации можно выделить два типа:

1. безусловные и условные

2. простые и сложные

3. прямые и обратные

4. графические и табличные

39.Из ниже приведенных рисунков выбрать тот, который относится к бисекции:

1.

 

2.

 

3.

 

40.… погрешность - это отношение абсолютной погрешности к приближённому значению числа.

1. Относительная

2. Явная

3. Скрытая

4. Нет правильного ответа

41.… погрешность некоторого числа равна разности между его истинным значением и приближенным.

1. Относительная

2. Явная

3. Скрытая

4. Нет правильного ответа

42.Метод, основанный на привидении матрицы (системы) к треугольному виду:

1. Гаусса

2. Рунге

3. Крамера

4. Нет правильного ответа

43.… это направление наибольшего возрастания функции двух переменных.

1. Градиент

2. Унимодальность

44.… функция - это целевая функция, имеющая на данном отрезке только один минимум.

1. Унимодальная

2. Градиентная

45.Слово "аппроксимация" означает:

1. "приближение"

2. "удаление"

46.Отыскание промежуточного значения функции называется:

1. интерполяцией

2. экстраполяцией

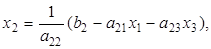
47.Так выражают неизвестные , и соответственно из первого, второго и третьего уравнений системы:

 

1. в методе Гаусса

2. в методе Крамера

3. правильного ответа нет

48.Метод Эйлера решения ОДУ относится к … методам:

1. одношаговым

2. многошаговым

49.Какой метод решения ОДУ более точный:


1. Эйлера

2. Рунге-Кутта

50.Метод Монте-Карло также называют:

1. методом статистических испытаний

2. методом разложения в ряд

51.Квадратичная интерполяция относится к:

1. локальной

2. глобальной

52.Линейная интерполяция относится к:

1. локальной

2. глобальной

53.Интерполяция Полиномом Лагранжа относится к:

1. локальной

2. глобальной

54.Интерполяция Полиномом Ньютона относится к:

1. локальной

2. глобальной

55.Более точным методом численного интегрирования является:

1. метод прямоугольников

2. метод Симпсона

56.Менее точным методом численного интегрирования является:

1. метод прямоугольников

2. метод Симпсона

57.Квадратичная интерполяция не относится к:

1. локальной

2. глобальной

58.Линейная интерполяция не относится к:

1. локальной

2. глобальной

59.Интерполяция Полиномом Лагранжа не относится к:

1. локальной

2. глобальной

60.Интерполяция Полиномом Ньютона не относится к:

1. локальной

2. глобальной

61.Метод Эйлера решения ОДУ не относится к … методам:

1. одношаговым

2. многошаговым

62.Какой метод решения ОДУ менее точный:

1. Эйлера

2/ Рунге-Кутта

63.Данная формула называется

1. формулой прямоугольников

2. формулой крайних

3. формулой трапеций

4. нет правильного ответа

5. формулой треугольников

64.Данная формула называется

1. формулой крайних

2. формулой трапеций

3. нет правильного ответа

4. формулой треугольников

65.Данная формула называется

1. формулой прямоугольников

2. формулой крайних

3. формулой трапеций

4. нет правильного ответа

5. формулой треугольников

66.Данная формула называется

1. формулой прямоугольников

2. формулой крайних

3. нет правильного ответа

4. формулой треугольников

67.Данная формула называется

1. формулой прямоугольников

2. формулой Симпсона

3. формулой крайних

4. нет правильного ответа

5. формулой треугольников

68.Данная формула называется

1. формулой прямоугольников

2. формулой крайних

3. нет правильного ответа

4. формулой треугольников

69.… уравнениями называются уравнения, содержащие только целые, рациональные, иррациональные функции.

1. алгебраическими

2. трансцентдентными

3. суперсложными

4. аналитическими

5. краевыми

70.… уравнениями называются уравнения, содержащие только целые, рациональные, иррациональные функции.

1. трансцентдентными

2. суперсложными

3. аналитическими

4. краевыми

5. нет правильного ответа

71.… уравнениями называются уравнения, содержащие тригонометрические, показательные, логарифмические и др функции.

1. трансцентдентными

2. суперсложными

3. аналитическими

4. краевыми

5. нет правильного ответа

72.… уравнениями называются уравнения, содержащие тригонометрические, показательные, логарифмические и др функции.


1. алгебраическими

2. суперсложными

3. аналитическими

4. нет правильного ответа

5. краевыми

73.Система называется…, если неустранимая погрешность оказывает сильное влияние на решение; у таких систем определитель близок, но не равен 0.

1. плохо обусловленной

2. не обусловленной

3. обусловленной

74.К прямым методам решения систем линейных уравнений относятся (два варианта ответа):

1. Крамера

2. Гаусса

3. Гаусса-Зейделя

4. Простых итераций

75.К итерационным методам решения систем линейных уравнений относятся (два варианта ответа):

1. Крамера

2. Гаусса

3. Гаусса-Зейделя

4. Простых итераций

76.В каких методах решения систем линейных уравнений необходимо начальное приближение:

1. прямых

2. итерационных

77.Достоинства итерационных методов решения систем линейных уравнений:

1. Погрешность округления не накапливается от итерации к итерации

2. Заранее известный объем вычислений

78.Достоинства прямых методов решения систем линейных уравнений:

1. Погрешность округления не накапливается от итерации к итерации

2. Заранее известный объем вычислений

79.Уравнение, содержащее производные от искомой функции y = y(x), называется:

1. обыкновенным дифференциальным уравнением

2. обыкновенным тригонометрическим уравнением

3. трансцендетным уравнением

4. уравнением Симпсона

80.Это соотношение называется аппроксимацией (приближением) производной с помощью отношения конечных разностей.

1.

 

2.

 

81....- разность между соседними значениями аргумента.

1. шаг

2. аппроксимация

3. ранг

82.Аппроксимация производной с помощью

1. полинома Лагранжа

2. полинома Ньютона

3. неопределенных коэффициентов

83.Записывая интерполяционный многочлен … и его остаточный член для случая четырех узлов (), получаем следующие аппроксимации производных:

 

1. полинома Лагранжа

2. полинома Ньютона

3. неопределенных коэффициентов

84.В данном методе искомое выражение для производной k- го порядка в некоторой точке представляется в виде линейной комбинации заданных значений функции в узлах

1. неопределенных коэффициентов

2. Лагранжа

3. Ньютона

85.Формула … дает более точное значение производной. В общем случае порядок точности аппроксимации увеличивается на единицу.

1. Рунге

2. Ньютона

3. Лагранжа

4. правильного ответа

86.Формула … дает более точное значение производной. В общем случае порядок точности аппроксимации увеличивается на единицу.

1. Ньютона

2. Ромберга

3. Лагранжа

4. нет правильного ответа

87.Формула … дает более точное значение производной. В общем случае порядок точности аппроксимации увеличивается на q-1.

1. Ньютона

2. Ромберга

3. Лагранжа

4. нет правильного ответа

88.Формула … дает более точное значение производной. В общем случае порядок точности аппроксимации увеличивается на q-1.

1. Рунге

2. Ньютона

3. Лагранжа

4. нет правильного ответа

89.Используя понятие.., можно приближенно записать для малых значений шагов h1,h2

1. частной производной

2. критических чисел

3. нет правильного ответа

90..… от функции на отрезке [ a,b ] называется предел интегральной суммы при неограниченном увеличении числа точек разбиения; при этом длина наибольшего из отрезков стремится к нулю.

 

1. определенным интегралом

2. квадратурным интегралом

91.Формула

1. Ньютона-Лейбница

2. трапеций

3. прямоугольников

92.Метод

1. правых прямоугольников

2. трапеций

3. нет правильного ответа

Уравнение, содержащее производные от искомой функции y = y(x), называется:

1. обыкновенным тригонометрическим уравнением

2. трансцендетным уравнением

3. уравнением Симпсона

4. нет правильного ответа

 

93.По известным погрешностям некоторой системы параметров требуется определить погрешность функции от этих параметров - это…

1. Прямая задача теории погрешностей

2. Обратная задача теории погрешностей

94.Предельная абсолютная погрешность суммы или разности равна … предельных погрешностей.

1. сумме

2. наименьшему значению из

3. наибольшему значению из

95.Относительная погрешность суммы положительных слагаемых … наибольшей из относительных погрешностей этих слагаемых.

1. не превышает

2. больше

3. нет правильного ответа

96.Предельная относительная погрешность произведения или частного равна … предельных относительных погрешностей.

1. сумме

2. произведению

3. частному

4. нет правильного ответа

97.Предельная относительная погрешность произведения или частного равна … предельных относительных погрешностей.

1. произведению

2. частному

3 нет правильного ответа

98.Предельная … погрешность степени и корня приближенного числа равна произведению предельной относительной погрешности этого числа на показатель степени.

1. относительная

2. абсолютная

3. нет правильного ответа

99.… заключается в следующем: при каких значениях аргумента известная функция у=f(х1, х2,¼,хn) будет иметь погрешность не превосходящую заданной величины.

1. Обратная задача теории погрешности

2. Прямая задача теории погрешности

100.… - это замена одной функции другой близкой к исходной и обладающей "хорошими" свойствами, позволяющими легко производить над ней те или иные аналитические или вычислительные операции.

1. Аппроксимация

2. Интерполяция

3. Квинтэссенция

101.f(x) называют … функцией, если она содержит логарифмическую, показательную, тригонометрические, обратные тригонометрические и другие функции.

1. трансцендентной

2. сложной

3. аппроксимирующей

102.Метод простой итерации относится к методам…

1. решения систем линейных уравнений

2. численного интегрирования

 

103.При численном дифференцировании, как и при интерполяции, возникает два типа погрешностей.

1. Погрешность усечения

2. Погрешность округления

3. Линейная погрешность

104.Процесс решения по методу Гаусса распадается на два этапа. Этап- нахождение значений неизвестных, называют...

1. прямым ходом

2. обратным ходом

105.Для проведения квадратичной интерполяции необходимо:

1. одна точка (узла)

2. две точки (узла)

3. нет правильного ответа

106.Итерационный метод решения систем линейных уравнений:

1. Нет правильного ответа

2. Ньютона-Лейбница

3. Симпсона

107.Данная формула - интерполяционная формула:

1. Нет правильного ответа

2. Ньютона

3. Эрмита

108.Данная формула - интерполяционная формула:

 

1. Лагранжа

2. Нет правильного ответа

3. Эрмита

109.Данная формула для аппроксимации производной с помощью:

1. нет правильного ответа

2. правых разностей

3. центральных разностей

110.Данная формула для аппроксимации производной с помощью:

1. левых разностей

2. нет правильного ответа

3. центральных разностей

111.С помощью метода неопределенных коэффициентов можно:

1. нет правильного ответа

2. интерполировать функцию

3. экстраполировать функцию

112.Уравнения, содержащие в себе тригонометрические, логарифмические и показательные функции называются:

1. Квадратные

2. Полные

3. Нет правильного ответа

4. Сложные

 

113.…это неоднократное повторение какого-либо вычислительного процесса называется:

1. Нет правильного ответа

2. Интерполяция

3. Экстраполяция

4. Задумка

114.Из всех задач оптимизации можно выделить два типа:

1. безусловные и условные

2. простые и сложные

3. прямые и обратные

4. графические и табличные

115.Метод, основанный на привидении матрицы (системы) к треугольному виду:

1. Рунге

2. Крамера

3. Нет правильного ответа

116.При численном интегрировании часто применяют метод … который использует линейную интерполяцию.

1. трапеций

2. Симпсона

3. нет правильного ответа

117.При оценке эффективности численных методов существенное значение имеют свойства (несколько правильных вариантов):

1. Универсальность

2. Простота организации вычислительного процесса и контроля точности

3. Скорость сходимости

4. Возможность использования интерполяционных формул

118.Формула Ньютона для интерполирования

1. вперед (первая интерполяционная формула)

2. назад (вторая интерполяционная формула)

119.Методы …- это численные методы решения математических задач с помощью моделирования случайных величин.

1. Монте-Карло

2. Монте-Мара

3. Монте-Кристо

120.Этот метод представляет собой некоторую модификацию метода простой итерации. Основная его идея заключается в том, что при вычислении (k +1)-го приближения неизвестной xi учитываются уже вычисленные ранее (k +1)-е приближения (x1 x2,..., xi-1).

1. Гаусса-Зейделя

2. Гаусса

3. Якоби

121.Численные методы (правила), в которых для нахождения значения функции в новой точке используется информация только об одной (предыдущей) точке, называются …

1 одношаговыми

2. ранговыми

122.Численные методы (правила), в которых для нахождения значения функции в новой точке используется информация о нескольких (предыдущих) точках, называются …

1. многошаговыми

2. ранговыми

123.…задачи оптимизации - это такие, при формулировке которых задаются некоторые ограничения.

1. условные

2. безусловные

124.Метод…численного диффренцирования

1. Лагранжа

2. неопределенных коэффициентов

3. Ньютона

125.Формула …

1. Ромберга

2. Кутта

3. Дирихле

126.Формула ,

1. линейной интерполяции

2. линейной оптимизации

3. линейного дифференцирования

127.Формула ,

1. нет правильного ответа

2. линейной оптимизации

3. линейного дифференцирования

128.… определяется остаточным членом ряда или аппроксимирующей функции.

1. Погрешность аппроксимации

2. Унимодальность аппроксимации

3. Сходимость аппроксимации

129.При составлении формул для случаев произвольного расположения узлов удобнее применять:

1. многочлен Лагранжа

2. метод неопределенных коэффициентов

3. метод средних

4. многочлен Ньютона

130.Существует простой и эффективный способ уточнения решения при фиксированном числе узлов, используемых в аппроксимирующих конечно-разностных соотношениях. Это метод ….

1. Рунге - Ромберга

2. Рунге-Кутта

3. Гаусса

4. Ньютона-Лейбница

131.Существует простой и эффективный способ уточнения решения при фиксированном числе узлов, используемых в аппроксимирующих конечно-разностных соотношениях. Это метод ….

1. Рунге-Кутта

2. Гаусса

3. Ньютона-Лейбница

4. нет правильного ответа

132.Формула … состоит в том, что определенный интеграл равен приращению первообразной F(x) на отрезке интегрирования.

1. Ньютона - Лейбница

2. Лагранжа

3. Простого счета

133.Метод численного интегрирования, метод … непосредственно использует замену интеграла интегральной суммой.

1. Прямоугольников

2. Трапеций

3. Симпсона

4. нет правильного ответа

134.Метод численного интегрирования, метод … непосредственно использует замену интеграла интегральной суммой.

1. Трапеций

2. Симпсона

3. квадратурные формулы

4. нет правильного ответа

135.Методы решения систем линейных уравнений делятся на две группы:

1. прямые и итерационные

2. сложные и простые

3. интегральные и обратные

136.…методы решения систем линейных уравнений используют конечные соотношения для вычисления неизвестных.

1. Прямые

2. Кривые

3. Итерационные

137.… матрица, это матрица, определитель которой равен нулю.

1. Вырожденная

2. Явная

3. Разреженная

138.… метод - метод последовательных приближений.

1. Итерационный

2. Прямой

3. Кривой

139.Одним из способов решения систем линейных уравнений является правило …, согласно которому каждое неизвестное представляется в виде отношения определителей:

1. Крамера

2. Ньютона

3. Гаусса

140.Один из методов решения систем линейных уравнений - метод … основан на приведении матрицы системы к треугольному виду.

1. Гаусса

2. Крамера

3. Ньютона-Зейделя

141.Из ниже приведенных рисунков выбрать тот, который относится к методу хорд:

1.

 

2.

 

3.

 

142.Метод

1. левых прямоугольников

2. правых прямоугольников

3. трапеций

4. нет правильного ответа

143.Метод

1. левых прямоугольников

2. Симпсона

3. правых прямоугольников

4. нет правильного ответа

144.Метод

1. левых прямоугольников

2. средних

3 трапеций

4. нет правильного ответа

145.Метод

1. левых прямоугольников

2. средних

3. Симпсона

4. нет правильного ответа

146.Метод

1. левых прямоугольников

2. средних

3. Симпсона

4. нет правильного ответа

147.Какой из методов численного интегрирования точнее:

1. Симпсона

2. прямоугольников

148.Формулы прямоугольников, трапеций и Симпсона являются частными случаями формул …

1. Ньютона - Котеса

2. Ньютона-Лейбница

149.Формула... представляет интеграл в виде

1. Чебышева

2. Ньютона - Котеса

3. Ньютона-Лейбница

150.Формула … использует не только значения подынтегральной функции в точках разбиения, но и её производные до некоторого порядка на границах отрезка.

1. Эйлера

2. Ньютона - Котеса

3. Ньютона-Лейбница

151.В зависимости от числа независимых переменных дифференциального уравнения делятся на две существенно различные категории:

1. обыкновенные дифференциальные уравнения, содержащие одну неизвестную переменную, и уравнения с частными производными, содержащие несколько независимых переменных

2. задачу Коши и краевую задачу

152.Обыкновенными дифференциальными уравнениями называются такие уравнения, которые содержат одну или несколько производных от искомой функции .

1. Обыкновенными дифференциальными уравнениями

2. Обыкновенными интегральными уравнениями

3. Обыкновенными производными

153.Такая форма записи называется уравнением разрешенным относительно …

1. старшей производной

2. младшей производной

154.... дифференциальным уравнением называется уравнение, линейное относительно искомой функции и ее производных.

1. Линейным

2. Интерполяционным

3. Трансцендентым

155.Одним из способов решения систем линейных уравнений является правило …, согласно которому каждое неизвестное представляется в виде отношения определителей:

1. нет правильного ответа

2. Ньютона

3. Гаусса

156.Один из методов решения систем линейных уравнений - метод … основан на приведении матрицы системы к треугольному виду.

1. нет правильного ответа

2. Крамера

3. Ньютона-Зейделя

157.Обыкновенное... уравнение - уравнение, содержащие одну или несколько производных от искомой функции.

1. Дифференциальное

2. Интегральное

3. Численное

158.Простейшим численным методом решения задачи Коши для обыкновенного дифференциального уравнения является метод …

1. Эйлера

2. Сплайна

3. Лапласа

159.При решении дифференциального уравнения методом … требуется на каждом шаге четырехкратное вычисление правой части функции f(x, y):

1. нет правильного ответа

2. Сплайна

3. Лапласа

160.Многошаговый метод … для решения дифференциальных уравнений использует два этапа: явный метод и неявный метод.

1. Предиктор-корректор

2. Сплайна

3. Лапласа

161.Для повышения точности численного решения без существенного увеличения машинного времени используется метод … - использует повторное расчеты по одной разностной схеме с различными шагами.

1. нет правильного ответа

2. Сплайна

3. Лапласа

162.… дифференциальное уравнение - уравнение, линейное относительно искомой функции и её производных.

1. линейное

2. степенное

3. полное

163.Если приближение строится на заданном дискретном множестве точек {хi}, то аппроксимация называется …

1. нет правильного ответа

2. интегральной

3. линейной

4. квадратичной

164.… интерполяция состоит в том, что заданные точки (xi, yi) (i=0,1,…,n) соединяются прямолинейными отрезками, и функция f(x) приближается ломаной с вершинами в данных точках.

1. нет правильного ответа

2. точечная

3. параболическая

4. интегральная

165.… - это разность между соседними значениями аргумента.

1. шаг

2. скачок

3. производная функции

166.Итерационный процесс состоит в последовательном уточнении начального приближения хо. Каждый такой шаг называется …

1. итерацией

2. интеграцией

3. градацией

167.В методе деления отрезка пополам итерационный процесс продолжается до тех пор, пока значение функции F(x) после n-й итерации не станет … по модулю некоторого заданного малого числа ε.

1. нет правильного ответа

2. большим

3. равным

168.… погрешность некоторого числа равна разности между его истинным значением и приближённым значением, полученным в результате вычисления или измерения.

1. нет правильного ответа

2. относительная

3. нулевая

169.Одним из основных типов точечной аппроксимации является …

1. нет правильного ответа

2. интегрирование

3. дифференцирование

170.Интерполяционные многочлены могут строиться отдельно для разных частей рассматриваемого интервала изменения х. В этом случае имеем …

1. нет правильного ответа

2. среднеквадратичное приближение

3. точечную интерполяцию

171.Численный алгоритм называется … в случае существования и единственности численного решения при любых значениях исходных данных, а так же в случае устойчивости этого решения относительно погрешностей исходных данных.

1. нет правильного ответа

2. нормальным

3. прямым

4. своеобразным

172.Целевых функций может быть несколько. Некоторые целевые функции могут оказаться несовместимыми. Что необходимо делать в этих случаях?

1. вводить приоритет той или иной целевой функции

2. удалить одну из несовместимых целевых функций

3. заменить одну из несовместимых целевых функций на другую

173.Если на данном отрезке целевая функция имеет только один минимум, то она:

1. унимодальная

2. уникальная

3. минимодальная

174.Одним из наиболее эффективных методов оптимизации, в которых при ограниченном количестве вычислений f(x) достигается наилучшая точность, является:

1. метод золотого сечения

2. метод поиска

3. метод Симпсона

175.Какой метод сводит задачу о нахождении наименьшего значения функции многих переменных к многократному решению одномерных задач оптимизации по каждому проектному параметру?

1. метод покоординатного спуска

2. метод кривого спуска

3. нет правального ответа

176.Система называется…, если неустранимая погрешность оказывает сильное влияние на решение; у таких систем определитель близок, но не равен 0.

1. плохо обусловленной

2. не обусловленной

3. обусловленной

177.Система называется…, если определитель системы DA ¹ 0, и тогда система имеет единственное решение.

1. обусловленной

2. не обусловленной

178.Система называется …, если DA = 0, и тогда система не имеет решений или имеет бесконечное множество решений.

1. обусловленной

2. не обусловленной

179.К прямым методам решения систем линейных уравнений относятся (два варианта ответа):

1. Крамера

2. Гаусса

3. Гаусса-Зейделя

4. Простых итераций

180.К итерационным методам решения систем линейных уравнений относятся (два варианта ответа):

1. Крамера

2. Гаусса

3. Гаусса-Зейделя

4. Простых итераций

181.В каких методах решения систем линейных уравнений необходимо начальное приближение:

1. прямых

2. итерационных

182.Достоинства итерационных методов решения систем линейных уравнений:

1. Погрешность округления не накапливается от итерации к итерации

2. Заранее известный объем вычислений

183.Достоинства прямых методов решения систем линейных уравнений:

1. Погрешность округления не накапливается от итерации к итерации

2. Заранее известный объем вычислений

184.Уравнение, содержащее производные от искомой функции y = y(x), называется:

1. обыкновенным дифференциальным уравнением

2. обыкновенным тригонометрическим уравнением

3. трансцендетным уравнением

4. уравнением Симпсона

185.По известным погрешностям некоторой системы параметров требуется определить погрешность функции от этих параметров - это…

1. Прямая задача теории погрешностей

2. Обратная задача теории погрешностей

186.Предельная абсолютная погрешность суммы или разности равна … предельных погрешностей.

1. сумме

2. наименьшему значению из

3. наибольшему значению из

187.Предельная абсолютная погрешность суммы или разности равна … предельных погрешностей.

1. сумме

2. наименьшему значению из

3. наибольшему значению из

188.Предельная абсолютная погрешность суммы или разности равна … предельных погрешностей.

1. наименьшему значению из

2. наибольшему значению из

3. нет правильного ответа

189.Относительная погрешность суммы положительных слагаемых … наибольшей из относительных погрешностей этих слагаемых.

1. не превышает

2. больше

3. нет правильного ответа

190.Предельная относительная погрешность произведения или частного равна … предельных относительных погрешностей.

1. сумме

2. произведению

3. частному

4. нет правильного ответа

191.Предельная относительная погрешность произведения или частного равна … предельных относительных погрешностей.

1. произведению

2. частному

3. нет правильного ответа

192.Предельная … погрешность степени и корня приближенного числа равна произведению предельной относительной погрешности этого числа на показатель степени.

1. относительная

2. абсолютная

3. нет правильного ответа

193.… заключается в следующем: при каких значениях аргумента известная функция у=f(х1, х2,¼,хn) будет иметь погрешность не превосходящую заданной величины.

1. Обратная задача теории погрешности

2. Прямая задача теории погрешности

194.… - это замена одной функции другой близкой к исходной и обладающей "хорошими" свойствами, позволяющими легко производить над ней те или иные аналитические или вычислительные операции.

1. Аппроксимация

2. Интерполяция

3. Квинтэссенция

195.f(x) называют … функцией, если она содержит логарифмическую, показательную, тригонометрические, обратные тригонометрические и другие функции.

1. трансцендентной

2. сложной

3. аппроксимирующей

196.Метод простой итерации относится к методам…

1. решения систем линейных уравнений

2. численного интегрирования

197.… - процесс выбора наилучшего варианта из всех возможных.

1. Оптимизация

2. Критеризация

198.… функция используется при выборе оптимального решения или сравнения двух альтернативных решений.

1. Целевая

2. Альтернативная

199.Процесс решения задачи методом поиска состоит в последовательном сужении интервала изменения проектного параметра, называемого интервалом…

1. Неопределенности

2. Неднородности

200.… - уравнение линии постоянного наклона:

1. Изоклина

2. Изодлина

201.В зависимости от способа задания дополнительных условий для получения частного решения дифференциального уравнения существуют два различных типа задач: задача Коши и … задача:

1. Краевая

2. Прямая

3. Неопределенная

202.Наиболее распространенным и универсальным численным методом решения дифференциальных уравнений является метод …

1. Конечных разностей

2. Конечных угловых значений

3. Критериальный

203.… схема - совокупность разностных уравнений, аппроксимирующих исходное дифференциальное уравнение и дополнительные условия на границе:

1. аппроксимирующая

2. разностная

3. дифференциальная

204.Простейшим численным методом решения задачи Коши для обыкновенного дифференциального уравнения является метод …

1. Эйлера

2. Сплайна

3. Лапласа

205.При решении дифференциального уравнения методом … требуется на каждом шаге четырехкратное вычисление правой части функции f(x, y)

1. Рунге-Кутта

2. Сплайна

3. Лапласа

206.Многошаговый метод … для решения дифференциальных уравнений использует два этапа: явный метод и неявный метод.

1. Предиктор-корректор

2. Сплайна

3. Лапласа

207.Для повышения точности численного решения без существенного увеличения машинного времени используется метод … - использует повторные расчеты по одной разностной схеме с различными шагами.

1. Рунге

2. Сплайна

3. Лапласа

208.Если приближение строится на заданном дискретном множестве точек {хi}, то аппроксимация называется …

1. точечной

2. интегральной

3. линейной

4. квадратичной

209.… интерполяция состоит в том, что заданные точки (xi, yi) (i=0,1,…,n) соединяются прямолинейными отрезками, и функция f(x) приближается ломаной с вершинами в данных точках.

1. линейная

2. точечная

3. параболическая

4. интегральная

210.… - это разность между соседними значениями аргумента.

1. шаг

2. скачок

3. производная функции

211.Что, как правило, происходит с погрешностью аппроксимации при уменьшении шага?

1. уменьшается

2. увеличивается

3. не изменяется

212.Какой из ниже приведённых методов обладает более высокой точностью?

1. метод трапеций

2. метод прямоугольников

3. метод Симпсона

213.При анализе точности вычислительного процесса одним из важнейших критериев является … численного метода.

1. сходимость

2. значимость

3. качество

214.Уравнения, содержащие тригонометрические, показательные и логарифмические функции называются …

1. трансцендентными

2. алгебраическими

3. сложными

215.Итерационный процесс состоит в последовательном уточнении начального приближения хо. Каждый такой шаг называется …

1. итерацией

2. интеграцией

3. градацией

216.В методе деления отрезка пополам итерационный процесс продолжается до тех пор, пока значение функции F(x) после n-й итерации не станет … по модулю некоторого заданного малого числа ε.

1. меньшим

2. большим

3. равным

217.… погрешность некоторого числа равна разности между его истинным значением и приближённым значением, полученным в результате вычисления или измерения.

1. абсолютная

2. относительная

3. нулевая

218.Выбор оптимального решения или сравнения двух альтернативных решений проводится с помощью некоторой независимой величины (функции), определяемой проектными параметрами. Эта величина называется …

1. целевой функцией

2. функцией оптимизации

3. проектной функцией

219.Можно выделить два типа задач оптимизации - …

1. безусловные и условные

2. сложные и не сложные

3. графические и аналитические

220.При построении приближения на непрерывном множестве точек аппроксимация называется …

1. интегральной

2. точечной

3. линейной

4. параболической

221.Одним из основных типов точечной аппроксимации является …

1. интерполирование

2. интегрирование

3. дифференцирование

222.Интерполяционные многочлены могут строиться отдельно для разных частей рассматриваемого интервала изменения х. В этом случае имеем …

1. локальную интерполяцию

2. среднеквадратичное приближение

3. точечную интерполяцию

223.Численный алгоритм называется … в случае существования и единственности численного решения при любых значениях исходных данных, а так же в случае устойчивости этого решения относительно погрешностей исходных данных.

1. корректным

2. нормальным

3. прямым

4. своеобразным

224.Верно ли утверждение, что целевая функция (методы оптимизации) не всегда может быть представлена в виде формулы.

1. да

2. нет

3. затрудняюсь ответить

225.Целевых функций может быть несколько. Некоторые целевые функции могут оказаться несовместимыми. Что необходимо делать в этих случаях?

1. вводить приоритет той или иной целевой функции

2. удалить одну из несовместимых целевых функций

3. заменить одну из несовместимых целевых функций на другую

226.Если на данном отрезке целевая функция имеет только один минимум, то она:

1. унимодальная

2. уникальная

3. минимодальная

227.Одним из наиболее эффективных методов оптимизации, в которых при ограниченном количестве вычислений f(x) достигается наилучшая точность, является:

1 метод золотого сечения

2. метод поиска

3. метод Симпсона

228.Какой метод сводит задачу о нахождении наименьшего значения функции многих переменных к многократному решению одномерных задач оптимизации по каждому проектному параметру?

1. метод покоординатного спуска

2. метод кривого спуска

3. нет правального ответа

229.В итерационных методах необходимо задать некоторое приближённое решение - …

1. начальное приближение

2. конечное приближение

3. среднее приближение

230.Уравнения, которые содержат одну или несколько производных от искомой функции y=y(x) называются …

1. обыкновенными дифференциальными уравнениями

2. обыкновенными интегральными уравнениями

3. обыкновенными уравнениями

 

231.Укажите методы интерполяции функции (Множественный выбор)

1. Лагранжа

2. Ньютона

3. линейная

4. квадратичная

5. нет правильного ответа

6. неопределенных коэффициентов

7. Рунге-Ромберга

8. Рунге-Кутта

9. золотого сечения

10. правой колонки

 

232.Укажите методы численного дифференцирования функции (изученные на лекциях) – множественный выбор

1. нет правильного ответа

2. неопределенных коэффициентов

3. Рунге-Ромберга

4. Рунге-Кутта

5. золотого сечения

6. перестановочных функций

 

233.Какой на Ваш взгляд из интерполяционных полиномов (Лагранжа и Ньютона) точнее (построенный по одинаковым узлам)

1. Лагранжа

2. Ньютона

3. точность одинакова

4. нет правильного ответа

5. иногда Лагранжа, иногда Ньютона

 

234.Вам необходимо построить аппроксимирующий многочлен второй степени по шести узлам (по методу наименьших квадратов). Систему уравнений со сколькими неизвестными Вам придется решить?

1. 2

2. 3

3. 4

4. 5

5. 6

6. 7

 

235.Какие методы численного решения нелинейных уравнений Вы знаете (множественный выбор)

1. Лагранжа

2. Ньютона

3. нет правильного ответа

4. неопределенных коэффициентов

5. Рунге-Ромберга

6. Рунге-Кутта

7. золотого сечения

8. правой руки

9. половинного деления

10. касательных

11. хорд

12. малых отрезков

13.Эйлера

 

236.Методы решения систем линейных уравнений (множественный выбор)

1. Гаусса

2. Гаусса-Зейделя

3. Рунге-Ромберга

4. Рунге-Кутта

5. Ньютона

6. Лейбница

 

237.При численном интегрировании методом Симпсона подинтегральная функция аппроксимируется

1. прямой

2. квадратичной функцией

3. кубической функцией

4. функцией Рунге-Ромберга

5. функцией Рунге-Кутта

6. сплошной линией

7. нет правильного ответа

 

238.При численном интегрировании методом трапеций подинтегральная функция аппроксимируется

1. квадратичной функцией

2. кубической функцией

3. функцией Рунге-Ромберга

4. функцией Рунге-Кутта

5. нет правильного ответа

6. очень сложно…

 

239.При численном интегрировании методом трапеций подинтегральная функция аппроксимируется

1. прямой

2. квадратичной функцией

3. кубической функцией

4. функцией Рунге-Ромберга

5. функцией Рунге-Кутта

6. нет правильного ответа

7. очень сложно…

 

240.В каком методе обязательна унимодальность функции (методы оптимизации)

1. золотого сечения

2. поиска

3. Гаусса

4. Гаусса-Зейделя

5. Рунге-Ромберга

6. Рунге-Кутта

7. Ньютона

8. Лейбница

9. касательных

 

 

241.При комбинированном методе решения систем линейных уравнений применяют

- сначала прямой, затем итерационный методы решения

- сначала итерационный, затем прямой методы решения

- прямой или итерационный (порядок не важен)

- сначала Рунге-Ромберга, затем Эйлера методы решения

- сначала Лагранжа, затем Ньютона методы решения

 

242.Укажите методы решения обыкновенных дифференциальных уравнений:

1. золотого сечения

2. поиска

3. Гаусса

4. Гаусса-Зейделя

5. Рунге-Ромберга

6. Рунге-Кутта

7. Эйлера

8. Ньютона

9. Лейбница

10. касательных

 

243.Укажите методы численного интегрирования

1. трапеций

2. прямоугольников

3. Симпсона

4. золотого сечения

5. поиска

6. Гаусса

7. Гаусса-Зейделя

8. Рунге-Ромберга

9. Рунге-Кутта

10. Эйлера

 

244.Укажите верное утверждение (методы решения нелинейных уравнений) множественный выбор

1. метод касательных быстрее сходится метода хорд

2. метод касательных быстрее сходится метода половинного деления

3. метод хорд быстрее сходится метода касательных

4. метод половинного деления быстрее сходится метода касательных

5. метод хорд и касательных сходятся одинаково быстро

6. метод хорд и касательных сходятся одинаково медленно

 

245.Укажите верное утверждение (множественный выбор)

1. Полином Лагранжа – это глобальная интерполяция

2. Полином Ньютона - это глобальная интерполяция

3. Полином Лагранжа – это локальная интерполяция

4. Полином Ньютона - это локальная интерполяция

5. метод наименьших квадратов - это локальная интерполяция

6. метод наименьших квадратов - это глобальная интерполяция

7. линейная интерполяция – это локальная интерполяция

8. квадратичная интерполяция – это локальная интерполяция

9. линейная интерполяция – это глобальная интерполяция

10. квадратичная интерполяция – это глобальная интерполяция

11. нет правильного ответа

 







Date: 2015-07-24; view: 753; Нарушение авторских прав



mydocx.ru - 2015-2026 year. (1.356 sec.) Все материалы представленные на сайте исключительно с целью ознакомления читателями и не преследуют коммерческих целей или нарушение авторских прав - Пожаловаться на публикацию