Главная Случайная страница


Полезное:

Как сделать разговор полезным и приятным Как сделать объемную звезду своими руками Как сделать то, что делать не хочется? Как сделать погремушку Как сделать так чтобы женщины сами знакомились с вами Как сделать идею коммерческой Как сделать хорошую растяжку ног? Как сделать наш разум здоровым? Как сделать, чтобы люди обманывали меньше Вопрос 4. Как сделать так, чтобы вас уважали и ценили? Как сделать лучше себе и другим людям Как сделать свидание интересным?


Категории:

АрхитектураАстрономияБиологияГеографияГеологияИнформатикаИскусствоИсторияКулинарияКультураМаркетингМатематикаМедицинаМенеджментОхрана трудаПравоПроизводствоПсихологияРелигияСоциологияСпортТехникаФизикаФилософияХимияЭкологияЭкономикаЭлектроника






Правило сложения дисперсии





 

Для сгруппированной, то есть разделенной на группы, статистической совокупности можно вычислить три вида дисперсии: общая, внутригрупповая и межгрупповая.

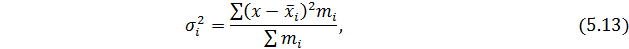
Для оценки непрерывного признака внутри группы рассчитывается внутригрупповая дисперсия:

 

 

где – среднее значение признака в i -ой группе.

 

Далее рассчитывается среднее значение из групповых дисперсий:

 

Межгрупповая дисперсия показывает вариацию групповых средних вокруг средней величины признака в совокупности:

 

 

Общая дисперсия определятся по правилу сложения дисперсий, а ее значение таково:

Общая вариация признака в совокупности складывается из вариации признака внутри отдельных групп и вариации между группами:

 

 

Пример 3. Имеются данные о результатах сдачи экзамена по двум группам на курсе.

 

Таблица 5.3

Оценки Количество студентов в 1-ой группе Количество студентов во 2-ой группе
     
Итого    

 

Решение: Определяется средняя оценка в каждой группе:

 

 

 

 

 

Рассчитывается общая средняя:

 

 

Находится дисперсия в каждой группе:

 

 

 

 

Далее определяется средняя дисперсия по двум группам:

 

 

Рассчитывается межгрупповая дисперсия:

 

 

Общая дисперсия составит:

 

 

Среднее квадратическое отклонение будет равно:

 

 

это означает, что оценка каждого студента в каждой группе отклоняется от средней на 0,87.

 

 

Вопросы для самопроверки

1. Что такое вариация и каковы этапы ее статистического анализа?

2. Какими показателями характеризуется центр распределения?

3. Как соотносятся между собой средняя и мода в симметричном распределении; в левосторонней асимметрии; в правосторонней асимметрии.

4. С помощью каких показателей определяется степень вариации?

5. Какой показатель характеризует степень однородности совокупности?

6. Что характеризует эксцесс распределения?

7. В чем состоит правило сложения дисперсий?


Тест для самопроверки к теме 5 «Изучение вариации»

1. При графическом изображении вариационного ряда, какой график не используется:

1. кумулята

2. полигон распределения

3. поле корреляции

4. гистограмма

 

2. Для определения медианы средняя величина:

1. используется

2. не используется

 

3. При правосторонней асимметрии коэффициент асимметрии:

1. 0; 2. 0; 3. равен нулю.

 

 








Date: 2015-07-24; view: 539; Нарушение авторских прав



mydocx.ru - 2015-2026 year. (1.016 sec.) Все материалы представленные на сайте исключительно с целью ознакомления читателями и не преследуют коммерческих целей или нарушение авторских прав - Пожаловаться на публикацию