Главная Случайная страница


Полезное:

Как сделать разговор полезным и приятным Как сделать объемную звезду своими руками Как сделать то, что делать не хочется? Как сделать погремушку Как сделать так чтобы женщины сами знакомились с вами Как сделать идею коммерческой Как сделать хорошую растяжку ног? Как сделать наш разум здоровым? Как сделать, чтобы люди обманывали меньше Вопрос 4. Как сделать так, чтобы вас уважали и ценили? Как сделать лучше себе и другим людям Как сделать свидание интересным?


Категории:

АрхитектураАстрономияБиологияГеографияГеологияИнформатикаИскусствоИсторияКулинарияКультураМаркетингМатематикаМедицинаМенеджментОхрана трудаПравоПроизводствоПсихологияРелигияСоциологияСпортТехникаФизикаФилософияХимияЭкологияЭкономикаЭлектроника






Расчет переходных кривых





Рис. 2.1. Схема составного закругления.

 

Переходные кривые предусматриваются для сопряжения круговых кривых съездов транспортных развязок с прямолинейными участками дороги.

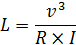
Минимальная длина переходной кривой определяется по формуле:

где v – расчетная скорость движения на съезде; R – радиус круговой кривой в плане съезда; I – степень нарастания центробежного ускорения (I=0,6).

Для I технической категории:

для левоповоротных съездов:

для правоповоротных съездов:

Для III технической категории:

 

 

для левоповоротных съездов:

для правоповоротных съездов:

 

Угол поворота переходной кривой:

Для I технической категории:

для левоповоротных съездов:

для правоповоротных съездов:

Для III технической категории:

для левоповоротных съездов:

для правоповоротных съездов:

Проверяется условие: α ≥ 2β.Угол α – угол пересечения автомобильных дорог.

Для I технической категории:

для левоповоротных съездов: 83°≥2×15,92°=31,84°

для правоповоротных съездов: 83°≥2×11,91°=23,82°

 

Для III технической категории:

для левоповоротных съездов: 83°≥2×18,19°=36,38°

для правоповоротных съездов: 83°≥2×15,36°=30,72°

 

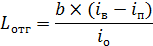
Наименьшая длина отгона виража определяется по формуле:

где b – ширина проезжей части съезда, iв – поперечный уклон виража (iв=40%о); iп – поперечный уклон проезжей части (iп=20%о); iо – продольный уклон отгона виража (iо=10%о).

 

для левоповоротных съездов:

для правоповоротных съездов:

 

Совмещенный участок устраивается во всех случаях в местах сопряжения съезда с автомобильной дорогой. В пределах совмещенного участка продольного и поперечного профиля съезда принимаются, как и для основной дороги. За пределами совмещенного участка начинается самостоятельное проектирование съезда в продольном и поперечном профилях. Длина совмещенного участка определяется по формуле:

 

где C – параметр переходной кривой; Ya – координата конца совмещенного участка; П1 – ширина полосы движения однопутного съезда; П2 – ширина полосы движения автомобильной дороги, или ширина переходно-скоростной полосы.

Для I технической категории:

для левоповоротных съездов:

для правоповоротных съездов:

 

Для III технической категории:

для левоповоротных съездов:

для правоповоротных съездов:

Полученная длина переходной кривой должна удовлетворять условию:

для левоповоротных съездов:

для правоповоротных съездов:







Date: 2015-07-24; view: 1269; Нарушение авторских прав



mydocx.ru - 2015-2026 year. (0.331 sec.) Все материалы представленные на сайте исключительно с целью ознакомления читателями и не преследуют коммерческих целей или нарушение авторских прав - Пожаловаться на публикацию