Главная Случайная страница


Полезное:

Как сделать разговор полезным и приятным Как сделать объемную звезду своими руками Как сделать то, что делать не хочется? Как сделать погремушку Как сделать так чтобы женщины сами знакомились с вами Как сделать идею коммерческой Как сделать хорошую растяжку ног? Как сделать наш разум здоровым? Как сделать, чтобы люди обманывали меньше Вопрос 4. Как сделать так, чтобы вас уважали и ценили? Как сделать лучше себе и другим людям Как сделать свидание интересным?


Категории:

АрхитектураАстрономияБиологияГеографияГеологияИнформатикаИскусствоИсторияКулинарияКультураМаркетингМатематикаМедицинаМенеджментОхрана трудаПравоПроизводствоПсихологияРелигияСоциологияСпортТехникаФизикаФилософияХимияЭкологияЭкономикаЭлектроника






Изготовление эвольвентных профилей. Получение наглядного представления о процессе нарезания эвольвентных зубьев колёс методом обкатки (огибания)





ЗУБЬЕВ МЕТОДОМ ОБКАТКИ

И СИНТЕЗ ЗУБЧАТОГО ЦИЛИНДРИЧЕСКОГО

ЗАЦЕПЛЕНИЯ

Цель работы

Получение наглядного представления о процессе нарезания эвольвентных зубьев колёс методом обкатки (огибания), о подрезании зубьев ивлияния сдвига зуборезного инструмента на размеры зубьев, определение основных размеров колёс и зубчатой передачи.

 

Основные понятия и определения

Методом обкатки зубчатые колёса нарезаются инструментальными рейками (гребёнками), червячными фрезами, долбяками на зубострогательных, зубофрезерных и зубодолбёжных станках (рис. 2.1).

Рис.2.1. Схемы нарезания зубьев инструментальной рейкой (а),

червячной фрезой (б) и долбяком (в).

При изготовлении зубчатых колёс способом огибания заготовке и режущему инструменту сообщают относительное движение, которое воспроизводит процесс зацепления. На зубострогательном станке суппорт 1 и инструментальная рейка 2 совершают возвратно - поступательное движение в вертикальной плоскости, параллельно оси заготовки. При движении сверху вниз происходит процесс резания. Обратный ход - холостой. За время холостого хода рейка получает перемещение Δ z в горизонтальном направлении, а заготовка 3 поворачивается на угол Δφ. Эти движения связаны соотношением:

Δz = rΔφ, (2.1.)

где r - делительный радиус.

Более производительными являются зубофрезерные станки, в которых используется червячная фреза (рис. 2.2). Её профиль можно получить перемещением рейки по винтовой линии с некоторым постоянным углом подъёма γ. Если рассечь червячную фрезу плоскостью, проходящей через её ось, в сечении получим рейку. В процессе нарезания зубьев фреза совершает непрерывное вращательное движение и одновременно движется параллельно оси колеса.

 

Рис. 2.2. Схемы расположения червячной фрезы и заготовки:

а - в плоскости, перпендикулярной к оси нарезаемого колеса;

б - в плоскости расположения оси червячной фрезы и нарезаемого колеса.

 

Способ огибания является высокопроизводительным. Кроме того, он позволяет теоретически точно изготовлять одним инструментом как прямозубые, так и косозубые колёса одного и того же модуля с разными числами зубьев и различными смещениями.

Процесс изготовления зубчатого колеса способом огибания можно рассматривать как зацепление исходного производящего контура (ИПК) инструмента с заготовкой. Для гребёнки и червячной фрезы ИПК имеет форму зубчатой рейки. Зацепление инструментальной рейки и нарезаемого колеса называют станочным (рис. 2.3.). ИПК согласно ГОСТ 13755-81 имеет стандартные параметры: α = 20°; h*a = 1; с* = 0,25. Модуль т регламентируется ГОСТ 9563-60.; ha = ha*m, с = с*т.

Делительная прямая, по которой толщина зуба рейки равна ширине впадины и составляет половину шага зубьев ИПК (s0 = e0 = πт/2), различным образом может располагаться по отношению к делительной окружности нарезаемого колеса.

Рис. 2.3. Станочное зацепление

Если при нарезании зубьев рейка установлена так, что делительная прямая касается делительной окружности колеса, то толщина зуба по дуге делительной окружности будет равна

ширине впадины, т.е. s=е = 0,5πт

Зубчатые колёса с такими параметрами, получаемые любым методом нарезания, называют нулевыми.

Если делительную прямую инструментальной рейки отодвинуть от делительной окружности колеса в направлении от центра заготовки, то прямой, перекатываемой по делительной окружности без скольжения, является та прямая инструмента, по которой ширина впадин рейки больше толщины зуба (станочно-начальная прямая).

Нарезаемое колесо в этом случае получается положительным, толщина зуба по делительной окружности у этого колеса

s > тπ/2

Расстояние между делительной и станочно - начальной прямой в этом случае называется положительным смещением производящего исходного контура и выражается в долях модуля хm, где х - коэффициент смещения.

Если делительная прямая придвинута к центру колеса так, что пересекает делительную окружность, то у колеса толщина зуба по делительной окружности получается меньше ширины впадины, т.е.

s ˂ тπ/2

В этом случае колесо будет отрицательным, а расстояние между делительной и станочно - начальной прямыми называется отрицательным смещением.

При проектировании зубчатых колёс коэффициент смещения исходного контура должен удовлетворять ограничениям

xmin ˂x˂ xmax


где xmin=(zmin-z)/zmin минимальный коэффициент смещения, определённый из условия отсутствия подрезания; хтах – максимальный коэффициент смещения, определённый из условия отсутствия заострения

sa > 0,25т — для кинематических передач

sa>0,4m - для силовых передач

Коэффициенты смещения х1 и х2 влияют не только на геометрические параметры зубчатой передачи, но и на её качественные показатели:

• Коэффициент торцового перекрытия, учитывающий непрерывность и плавность зацепления

 

Коэффициент перекрытия показывает, какое количество пар зубьев находится одновременно в зацеплении. (Например, ε α =1,3. Это значит, что 30% времени в зацеплении находится 2 пары зубьев, а 70% - одна пара зубьев).

Из схемы зацепления коэффициент перекрытия можно определить:

где B1B2 - длина активной линии зацепления, рь -шаг по основной окружности.

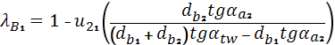
• Коэффициент скольжения, учитывающий влияние кинематических и геометрических параметров зацепления на скольжение профилей зубьев и в конечном итоге на их износ,

λB1, λB2 - максимальные абсолютные значения

коэффициентов скольжения);

• Коэффициент удельного давления в полюсе зацепления, учитывающий влияние радиусов кривизны профилей на контактные напряжения, которые возникают на площадке контакта зубьев.

 

3. Описание прибора:

Процесс изготовления зубчатого колеса позволяет моделировать лабораторная установка ТММ42 (рис.2.4). На этой установке диск 1 имитирует заготовку, рейка 2 - исходный производящий контур режущего инструмента. В процессе движения рейка 2 огибает диск 1, как ИПК заготовку. При перемещении Δz рейки диск поворачивается на угол Δφ= Δz/r. При последовательном обведении зубьев рейки карандашом можно получить на диске профили зубьев, которые моделируют в масштабе 1:1 зубья колеса, изготовляемого на станке.

Рейку 2 можно смещать относительно диска 1 в радиальном направлении. Положение рейки фиксируется с помощью линейной шкалы. Профили зубьев, полученные при разных смещениях хт, дают возможность оценить влияние смещения на форму зуба.

Особенностью приборов является то, что на любом из них получается колесо с z<17, т.е. при нарезании нулевого колеса будет проходить подрезание ножки зуба.

 

 

Рис.2.4. Лабораторная установка ТММ42

 







Date: 2015-07-24; view: 836; Нарушение авторских прав



mydocx.ru - 2015-2026 year. (0.585 sec.) Все материалы представленные на сайте исключительно с целью ознакомления читателями и не преследуют коммерческих целей или нарушение авторских прав - Пожаловаться на публикацию