Главная Случайная страница


Полезное:

Как сделать разговор полезным и приятным Как сделать объемную звезду своими руками Как сделать то, что делать не хочется? Как сделать погремушку Как сделать так чтобы женщины сами знакомились с вами Как сделать идею коммерческой Как сделать хорошую растяжку ног? Как сделать наш разум здоровым? Как сделать, чтобы люди обманывали меньше Вопрос 4. Как сделать так, чтобы вас уважали и ценили? Как сделать лучше себе и другим людям Как сделать свидание интересным?


Категории:

АрхитектураАстрономияБиологияГеографияГеологияИнформатикаИскусствоИсторияКулинарияКультураМаркетингМатематикаМедицинаМенеджментОхрана трудаПравоПроизводствоПсихологияРелигияСоциологияСпортТехникаФизикаФилософияХимияЭкологияЭкономикаЭлектроника






Варіант 12





І частина (5 балів)

Завдання 1 – 5 мають по чотири варіанти відповіді, з яких тільки одна правильна. Оберіть правильну, на Вашу думку, відповідь. Правильне розв’язання кожного завдання оцінюється одним балом.

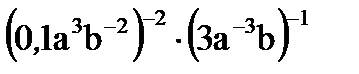
1. Обчисліть

А) 2,1; Б) 20,4; В) 400,4; Г) 40,4.

2. Скоротіть дріб .

А) 13; Б) 1; В) ; Г) .

3. Порівняйте 5 і .

А) ; Б) ; В) ; Г) .

4. На якому з рисунків зображено графік функції ?

А) Б) В) Г)

5. Скільки коренів має рівняння х 2 - 8 х + 15 = 0?

А) два; Б) один;

В) жодного кореня; Г) безліч коренів.

 

ІІ частина (4 бали)

Розв’язання завдань 6 – 7 може мати короткий запис без обґрунтування. Правильне розв’язання кожного завдання оцінюється двома балами.

6. Спростіть вираз .

7. Розв’яжіть рівняння

 

ІІІ частина (3 бали)

Розв’язання 8 завдання повинно мати обґрунтування. Потрібно записати послідовні логічні дії та пояснення. Правильне розв’язання завдання оцінюється трьома балами.

8. Одна бригада працювала на ремонті дороги 9 год, після чого до неї приєдналася друга бригада. Через 6 год спільної роботи виявилось, що відремонтовано дороги. За скільки годин може відремонтувати дорогу кожна бригада, працюючи самостійно, якщо першій бригаді на це потрібно на 9 год більше, ніж другій?


 







Date: 2015-07-24; view: 560; Нарушение авторских прав



mydocx.ru - 2015-2026 year. (1.094 sec.) Все материалы представленные на сайте исключительно с целью ознакомления читателями и не преследуют коммерческих целей или нарушение авторских прав - Пожаловаться на публикацию