Главная Случайная страница


Полезное:

Как сделать разговор полезным и приятным Как сделать объемную звезду своими руками Как сделать то, что делать не хочется? Как сделать погремушку Как сделать так чтобы женщины сами знакомились с вами Как сделать идею коммерческой Как сделать хорошую растяжку ног? Как сделать наш разум здоровым? Как сделать, чтобы люди обманывали меньше Вопрос 4. Как сделать так, чтобы вас уважали и ценили? Как сделать лучше себе и другим людям Как сделать свидание интересным?


Категории:

АрхитектураАстрономияБиологияГеографияГеологияИнформатикаИскусствоИсторияКулинарияКультураМаркетингМатематикаМедицинаМенеджментОхрана трудаПравоПроизводствоПсихологияРелигияСоциологияСпортТехникаФизикаФилософияХимияЭкологияЭкономикаЭлектроника






Варіант 19





І частина (5 балів)

Завдання 1 – 5 мають по чотири варіанти відповіді, з яких тільки одна правильна. Оберіть правильну, на Вашу думку, відповідь. Правильне розв’язання кожного завдання оцінюється одним балом.

1. Обчисліть

А) 29,5; Б) 40,75; В) 34,5; Г) -8,3.

2.Спростіть вираз

А) ; Б) ; В) ; Г) 0.

3. Запишіть число 45000 у стандартному вигляді.

А) 4,5·104; Б) 4,5·103; В) 0,45·105; Г) 45·103.

4. Розв’яжіть рівняння (у - 6)(у + 8) = - 48.

А) -2; 0; Б) немає коренів;

В) -2; Г) 0.

5. На одному з рисунків зображено графік функції . Вкажіть цей графік.

А) Б) В) Г)

 

ІІ частина (4 бали)

Розв’язання завдань 6 – 7 може мати короткий запис без обґрунтування. Правильне розв’язання кожного завдання оцінюється двома балами.

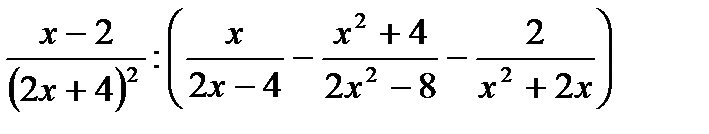
6. Спростіть вираз .

7. Пряма у = кх + b проходить через точки C (-3; -11) і D (1,5; -2). Знайдіть значення к і b.

 

ІІІ частина (3 бали)

Розв’язання 8 завдання повинно мати обґрунтування. Потрібно записати послідовні логічні дії та пояснення.Правильне розв’язання завдання оцінюється трьома балами.

8. Відстань між двома містами дорівнює 420 км. З одного міста до другого виїхали одночасно два автомобілі. Швидкість одного з них на 10 км/год більша за швидкість другого, тому він приїхав у пункт призначення на 1 год раніше від другого автомобіля. Знайдіть швидкість кожного автомобіля.


 







Date: 2015-07-24; view: 462; Нарушение авторских прав



mydocx.ru - 2015-2026 year. (0.742 sec.) Все материалы представленные на сайте исключительно с целью ознакомления читателями и не преследуют коммерческих целей или нарушение авторских прав - Пожаловаться на публикацию