Главная Случайная страница


Полезное:

Как сделать разговор полезным и приятным Как сделать объемную звезду своими руками Как сделать то, что делать не хочется? Как сделать погремушку Как сделать так чтобы женщины сами знакомились с вами Как сделать идею коммерческой Как сделать хорошую растяжку ног? Как сделать наш разум здоровым? Как сделать, чтобы люди обманывали меньше Вопрос 4. Как сделать так, чтобы вас уважали и ценили? Как сделать лучше себе и другим людям Как сделать свидание интересным?


Категории:

АрхитектураАстрономияБиологияГеографияГеологияИнформатикаИскусствоИсторияКулинарияКультураМаркетингМатематикаМедицинаМенеджментОхрана трудаПравоПроизводствоПсихологияРелигияСоциологияСпортТехникаФизикаФилософияХимияЭкологияЭкономикаЭлектроника






Варіант 1





Діагностична контрольна робота з алгебри

У 9-х класах

Варіант 1

І частина (5 балів)

Завдання 1 – 5 мають по чотири варіанти відповіді, з яких тільки одна правильна. Оберіть правильну, на Вашу думку, відповідь. Правильне розв’язання кожного завдання оцінюється одним балом.

 

1. Виконайте дії .

А) 6·10-15; Б) 6·108; В) 6·10-2; Г) 6·102.

2. Порівняйте 8,346… і 8,357…

А) 8,346 > 8,357; Б) 8,346 = 8,357;

В) 8,346 < 8,357; Г) не можна порівняти.

х
-2
-2
у
3. Графік якої функції зображено на малюнку?

 

 

 


А) у = -2 х; Б) у = х – 2; В) у = - х – 2; Г) у = - х.

4. Укажіть допустимі значення змінної х тотожності .

А) усі числа, крім 0; Б) усі числа крім 1;

В) усі числа; Г) усі числа, крім 0 і 1.

5. Скоротіть дріб .

А) ; Б) 10; В) ; Г) - · .

 

ІІ частина (4 бали)

Розв’язання завдань 6 – 7 може мати короткий запис без обґрунтування. Правильне розв’язання кожного завдання оцінюється двома балами.

6. Спростіть вираз .

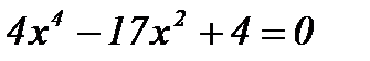
7. Розв’яжіть рівняння .

 

ІІІ частина (3 бали)

Розв’язання 8 завдання повинно мати обґрунтування. Потрібно записати послідовні логічні дії та пояснення. Правильне розв’язання завдання оцінюється трьома балами.

8. Одна бригада мала виготовити 120, а друга – 144 деталі. Перша бригада виготовила на 4 деталі більше, ніж друга, і працювала на 3 год менше від другої. Скільки деталей виготовляли кожна бригада за одну годину?


 







Date: 2015-07-24; view: 577; Нарушение авторских прав



mydocx.ru - 2015-2026 year. (1.689 sec.) Все материалы представленные на сайте исключительно с целью ознакомления читателями и не преследуют коммерческих целей или нарушение авторских прав - Пожаловаться на публикацию